(Ph. Eur. monograph 0454)
C4H6N4O3S2 222.2 59-66-5
Action and use
Carbonic anhydrase inhibitor; diuretic; treatment of glaucoma and ocular hypertension; treatment of mountain sickness.
Preparation
Acetazolamide Tablets
DEFINITION
N-(5-Sulfamoyl-1,3,4-thiadiazol-2-yl)acetamide.
Content
98.5 per cent to 101.0 per cent (dried substance).
CHARACTERS
Appearance
White or almost white, crystalline powder.
Solubility
Very slightly soluble in water, slightly soluble in ethanol (96 per cent). It dissolves in dilute solutions of alkali hydroxides.
It shows polymorphism (5.9).
IDENTIFICATION
First identification: A, B.
Second identification: A, C, D.
A. Ultraviolet and visible absorption spectrophotometry (2.2.25).
Solution A: Dissolve 30.0 mg in 0.01 M sodium hydroxide and dilute to 100.0 mL with the same solvent. Dilute 10.0 mL of the solution to 100.0 mL with 0.01 M sodium hydroxide.
Solution B: Dilute 25.0 mL of solution A to 100.0 mL with 0.01 M sodium hydroxide.
Spectral range: 230-260 nm for solution A; 260-350 nm for solution B.
Absorption maximum: At 240 nm for solution A; at 292 nm for solution B.
Specific absorbance at the absorption maximum: 162 to 176 for solution A; 570 to 620 for solution B.
B. Infrared absorption spectrophotometry (2.2.24).
Comparison: acetazolamide CRS.
If the spectra obtained in the solid state show differences, dissolve the substance to be examined and the reference substance separately in ethanol (96 per cent) R, evaporate to dryness and record new spectra using the residues.
C. Introduce about 20 mg into a test-tube and add 4 mL of dilute hydrochloric acid R and 0.2 g of zinc powder R. Immediately place a piece of lead acetate paper R over the mouth of the tube. The paper shows a brownish-black colour.
D. Dissolve about 25 mg in a mixture of 0.1 mL of dilute sodium hydroxide solution R and 5 mL of water R. Add 0.1 mL of copper sulfate solution R. A greenish-blue precipitate is formed.
TESTS
Appearance of solution
The solution is not more opalescent than reference suspension II (2.2.1) and not more intensely coloured than reference solution Y5 or BY5 (2.2.2, Method II).
Dissolve 1.0 g in 10 mL of 1 M sodium hydroxide.
Related substances
Liquid chromatography (2.2.29).
Test solution: Dissolve 40 mg of the substance to be examined in the mobile phase and dilute to 100.0 mL with the mobile phase.
Reference solution (a): Dilute 1.0 mL of the test solution to 100.0 mL with the mobile phase. Dilute 1.0 mL of this solution to 10.0 mL with the mobile phase.
Reference solution (b): Dissolve the contents of a vial of acetazolamide for system suitability CRS (containing impurities A, B, C, D, E and F) in 1.0 mL of the mobile phase.
Column:
— size: l = 0.15 m, Ø = 4.6 mm;
— stationary phase: end-capped propoxybenzene silica gel for chromatography R (4 μm).
Mobile phase acetonitrile for chromatography R, 6.8 g/L solution of potassium dihydrogen phosphate R (10:90 V/V).
Flow rate 1.0 mL/min.
Detection: Spectrophotometer at 265 nm.
Injection: 25 μl.
Run time: 3.5 times the retention time of acetazolamide.
Identification of impurities: Use the chromatogram supplied with acetazolamide for system suitability CRS and the chromatogram obtained with reference solution (b) to identify the peaks due to impurities A, B, C, D, E and F.
Relative retention: With reference to acetazolamide (retention time = about 8 min): impurity E = about 0.3; impurity D = about 0.4; impurity B = about 0.6; impurity C = about 1.4; impurity A = about 2.1; impurity F = about 2.6.
System suitability Reference solution (b):
— resolution: minimum 2.0 between the peaks due to impurities E and D.
Limits:
— correction factors: for the calculation of content, multiply the peak areas of the following impurities by the corresponding correction factor: impurity B = 2.3; impurity C = 2.6; impurity D = 1.6;
— impurities A, B, C, D, E, F: for each impurity, not more than 1.5 times the area of the principal peak in the chromatogram obtained with reference solution (a) (0.15 per cent);
— unspecified impurities: for each impurity, not more than the area of the principal peak in the chromatogram obtained with reference solution (a) (0.10 per cent);
— total: not more than 6 times the area of the principal peak in the chromatogram obtained with reference solution (a) (0.6 per cent);
— disregard limit: 0.5 times the area of the principal peak in the chromatogram obtained with reference solution (a) (0.05 per cent).
Sulfates (2.4.13)
Maximum 500 ppm.
To 0.4 g add 20 mL of distilled water R and dissolve by heating to boiling. Allow to cool with frequent shaking and filter.
Loss on drying (2.2.32)
Maximum 0.5 per cent, determined on 1.000 g by drying in an oven at 105 °C.
Sulfated ash (2.4.14)
Maximum 0.1 per cent, determined on 1.0 g.
ASSAY
Dissolve 0.200 g in 25 mL of dimethylformamide R. Titrate with 0.1 M ethanolic sodium hydroxide, determining the end- point potentiometrically (2.2.20).
1 mL of 0.1 M ethanolic sodium hydroxide is equivalent to 22.22 mg of C4H6N4O3S2
IMPURITIES
Specified impurities A, B, C, D, E, F.
Other detectable impurities (the following substances would, if present at a sufficient level, be detected by one or other of the tests in the monograph. They are limited by the general acceptance criterion for other/unspecified impurities and/or by the general monograph Substances for pharmaceutical use (2034). It is therefore not necessary to identify these impurities for demonstration of compliance. See also 5.10. Control of impurities in substances for pharmaceutical use) G.

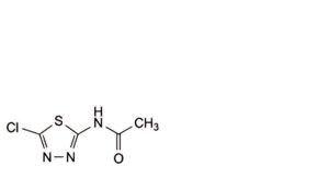
A. N-(5-chloro-1,3,4-thiadiazol-2-yl)acetamide,

B. N-(1,3,4-thiadiazol-2-yl)acetamide,

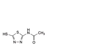
C. N-(5-sulfanyl-1,3,4-thiadiazol-2-yl)acetamide,

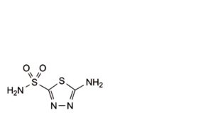
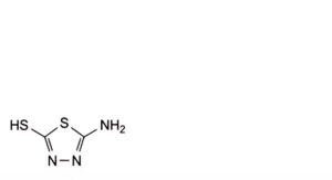
D. 5-amino-1,3,4-thiadiazole-2-sulfonamide,

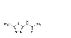
E. 5-acetamido-1,3,4-thiadiazole-2-sulfonic acid,

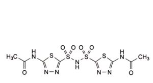
F. N-[5-[(5-acetamido-1,3,4-thiadiazol-2-yl)sulfonyl]sulfamoyl-1,3,4-thiadiazol-2-yl]acetamide,

G. 5-amino-1,3,4-thiadiazole-2-thiol.






