(Ph. Eur. monograph 0871)
Acebutolol Hydrochloride
C18H29ClN2O4 372.9 34381-68-5
Action and use
Beta-adrenoceptor antagonist.
Preparations
Acebutolol Capsules
Acebutolol Tablets
DEFINITION
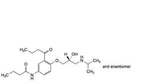
N-[3-Acetyl-4-[(2RS)-2-hydroxy-3-[(1-methylethyl)amino]propoxy]phenyl]butanamide hydrochloride.
Content
99.0 per cent to 101.0 per cent (dried substance).
CHARACTERS
Appearance
White or almost white, crystalline powder.
Solubility
Freely soluble in water and in ethanol (96 per cent), very slightly soluble in acetone and in methylene chloride.
mp
About 143 °C.
IDENTIFICATION
First identification: B, D.
Second identification: A, C, D.
A. Ultraviolet and visible absorption spectrophotometry (2.2.25).
Test solution: Dissolve 20.0 mg in a 0.1 per cent V/V solution of hydrochloric acid R and dilute to 100.0 mL with the same acid solution. Dilute 5.0 mL of this solution to 100.0 mL with a 0.1 per cent V/V solution of hydrochloric acid R.
Spectral range: 220-350 nm.
Absorption maxima: At 233 nm and 322 nm.
Specific absorbance at the absorption maximum: 555 to 605 at 233 nm.
B. Infrared absorption spectrophotometry (2.2.24).
Preparation: Discs.
Comparison: acebutolol hydrochloride CRS.
C. Thin-layer chromatography (2.2.27).
Test solution: Dissolve 20 mg of the substance to be examined in methanol R and dilute to 20 mL with the same solvent.
Reference solution (a): Dissolve 20 mg of acebutolol hydrochloride CRS in methanol R and dilute to 20 mL with the same solvent.
Reference solution (b): Dissolve 20 mg of pindolol CRS in methanol R and dilute to 20 mL with the same solvent. To 1 mL of this solution add 1 mL of reference solution (a).
Plate: TLC silica gel F254 plate R.
Mobile phase: perchloric acid R, methanol R, water R (5:395:600 V/V/V).
Application: 10 μL.
Development: Over 3/4 of the plate.
Drying: In air.
Detection: Examine in ultraviolet light at 254 nm.
System suitability: The chromatogram obtained with reference solution (b) shows 2 clearly separated principal spots.
Results: The principal spot in the chromatogram obtained with the test solution is similar in position and size to the principal spot in the chromatogram obtained with reference solution (a).
D. It gives reaction (a) of chlorides (2.3.1).
TESTS
Appearance of solution
The solution is not more opalescent than reference suspension II (2.2.1) and not more intensely coloured than reference solution BY5 (2.2.2, Method II).
Dissolve 0.5 g in water R and dilute to 10 mL with the same solvent.
pH (2.2.3)
5.0 to 7.0.
Dissolve 0.20 g in carbon dioxide-free water R and dilute to 20 mL with the same solvent.
Related substances
Liquid chromatography (2.2.29).
Test solution: Dissolve 0.100 g of the substance to be examined in mobile phase A and dilute to 50.0 mL with mobile phase A.
Reference solution (a): Dissolve 20.0 mg of the substance to be examined in mobile phase A and dilute to 100.0 mL with mobile phase A. Dilute 0.5 mL of this solution to 50.0 mL with mobile phase A.
Reference solution (b): Dissolve the contents of a vial of acebutolol impurity I CRS in 1.0 mL of mobile phase A.
Reference solution (c): Mix 2.0 mL of reference solution (a) and 1.0 mL of reference solution (b) and dilute to 10.0 mL with mobile phase A.
Reference solution (d): Dissolve 5.0 mg of acebutolol impurity C CRS in 10 mL of acetonitrile R and dilute to 25.0 mL with mobile phase A. Dilute 0.5 mL of this solution to 50.0 mL with mobile phase A.
Reference solution (e): Dissolve 5.0 mg of acebutolol impurity B CRS in 10.0 mL of acetonitrile R and dilute to 25.0 mL with mobile phase A. Dilute 1.0 mL of this solution to 50.0 mL with mobile phase A.
Column:
— size: l = 0.125 m, Ø = 4 mm,
— stationary phase: end-capped octadecylsilyl silica gel for chromatography R (5 μm),
— temperature: 40 °C.
Mobile phase:
— mobile phase A: mix 2.0 mL of phosphoric acid R, and 3.0 mL of triethylamine R and dilute to 1000 mL with
water R;
— mobile phase B: mix equal volumes of acetonitrile R and mobile phase A;
| Time
(min) |
Mobile phase A
(per cent V/V) |
Mobile phase B
(per cent V/V) |
| 0 – 2
2 – 30.5 30.5 – 41 |
98
98 → 10 10 |
2
2 → 90 90 |
Flow rate: 1.2 mL/min.
Detection: Spectrophotometer at 240 nm.
Injection: 25 μL.
System suitability: Reference solution (c):
— resolution: minimum 7.0 between the peaks due to impurity I and acebutolol.
Limits:
— impurity B: not more than the area of the principal peak in the chromatogram obtained with reference solution (e) (0.2 per cent);
— impurity C: not more than the area of the principal peak in the chromatogram obtained with reference solution (d) (0.1 per cent);
— impurity I: not more than twice the area of the principal peak in the chromatogram obtained with reference
solution (a) (0.2 per cent);
— any other impurity: for each impurity, not more than the area of the principal peak in the chromatogram obtained with reference solution (a) (0.1 per cent);
— total: not more than 5 times the area of the principal peak in the chromatogram obtained with reference solution (a) (0.5 per cent);
— disregard limit: 0.5 times the area of the principal peak in the chromatogram obtained with reference solution (a) (0.05 per cent).
Loss on drying (2.2.32)
Maximum 0.5 per cent, determined on 1.000 g by drying in an oven at 105 °C for 3 h.
Sulfated ash (2.4.14)
Maximum 0.1 per cent, determined on 1.0 g.
ASSAY
Dissolve 0.300 g in 50 mL of ethanol (96 per cent) R and add 1 mL of 0.1 M hydrochloric acid. Carry out a potentiometric titration (2.2.20), using 0.1 M sodium hydroxide. Read the volume added between the 2 points of inflexion.
1 mL of 0.1 M sodium hydroxide is equivalent to 37.29 mg of C18H29ClN2O4.
STORAGE
Protected from light.
IMPURITIES
Specified impurities A, B, C, D, E, F, G, H, I, J, K.

A. N-[3-acetyl-4-[(2RS)-oxiran-2-ylmethoxy]phenyl]butanamide,

B. N-[3-acetyl-4-[(2RS)-2-hydroxy-3-[(1-methylethyl)amino]propoxy]phenyl]acetamide (diacetolol),

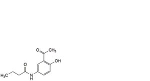
C. N-(3-acetyl-4-hydroxyphenyl)butanamide,

D. 1-[5-amino-2-[(2RS)-2-hydroxy-3-[(1-methylethyl)amino]propoxy]phenyl]ethanone,

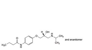
E. N-[4-[(2RS)-2-hydroxy-3-[(1-methylethyl)amino]propoxy]phenyl]butanamide,

F. N-[3-acetyl-4-[(2RS)-2,3-dihydroxypropoxy]phenyl]butanamide,

G. N,N′-[[(1-methylethyl)imino]bis[(2-hydroxypropane-1,3-diyl)oxy(3-acetyl-1,4-phenylene)]]dibutanamide (biamine),

H. N,N′-[(2-hydroxypropane-1,3-diyl)bis[oxy(3-acetyl-1,4-phenylene)]]dibutanamide,

I. N-[3-acetyl-4-[(2RS)-3-(ethylamino)-2-hydroxypropoxy]phenyl]butanamide,

J. N-[3-acetyl-4-[(2RS)-2-hydroxy-3-[(1-methylethyl)amino]propoxy]phenyl]propanamide,

K. N-[3-butanoyl-4-[(2RS)-2-hydroxy-3-[(1-methylethyl)amino]propoxy]phenyl]butanamide.






