(Ph. Eur. monograph 2089)
C25H43NO18 646 56180-94-0
Action and use
Alpha-glucosidase inhibitor; treatment of diabetes mellitus.
DEFINITION
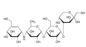
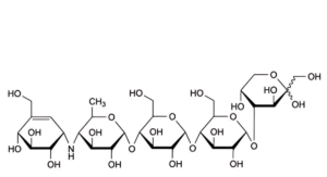
O-4,6-Dideoxy-4-[[(1S,4R,5S,6S)-4,5,6-trihydroxy-3-(hydroxymethyl)cyclohex-2-enyl]amino]-α-D glucopyranosyl-(1→4)-O-α-D-glucopyranosyl-(1→4)-D-glucopyranose, which is produced by certain strains of Actinoplanes utahensis.
Content
95.0 per cent to 102.0 per cent (anhydrous substance).
CHARACTERS
Appearance
White or yellowish, hygroscopic, amorphous powder.
Solubility
Very soluble in water, soluble in methanol, practically insoluble in methylene chloride.
IDENTIFICATION
A. Infrared absorption spectrophotometry (2.2.24).
Comparison acarbose for identification CRS.
B. Examine the chromatograms obtained in the assay.
Results The principal peak in the chromatogram obtained with the test solution is similar in retention time and size to the principal peak in the chromatogram obtained with reference solution (a).
TESTS
Solution S
Dissolve 1.00 g in carbon dioxide-free water R and dilute to 20.0 mL with the same solvent.
pH (2.2.3)
5.5 to 7.5 for solution S.
Specific optical rotation (2.2.7)
+ 168 to + 183 (anhydrous substance).
Dilute 2.0 mL of solution S to 10.0 mL with water R.
Absorbance (2.2.25)
Maximum 0.15 at 425 nm for solution S.
Related substances
Liquid chromatography (2.2.29).
Test solution: Dissolve 0.200 g of the substance to be examined in water R and dilute to 10.0 mL with the same solvent.
Reference solution (a): Dissolve the contents of a vial of acarbose CRS in 5.0 mL of water R.
Reference solution (b): Dissolve the contents of a vial of acarbose for peak identification CRS (acarbose containing impurities A, B, C, D, E, F and G) in 1 mL of water R.
Reference solution (c): Dilute 1.0 mL of the test solution to 100.0 mL with water R.
Column:
— size: l = 0.25 m, Ø = 4 mm;
— stationary phase: aminopropylsilyl silica gel for chromatography R (5 μm);
— temperature: 35 °C.
Mobile phase: Mix 750 volumes of acetonitrile R1 and 250 volumes of a solution containing 0.60 g/L of potassium dihydrogen phosphate R and 0.35 g/L of disodium hydrogen phosphate dihydrate R.
Flow rate: 2.0 mL/min.
Detection: Spectrophotometer at 210 nm.
Injection: 10 μL of the test solution and reference solutions (b) and (c).
Run time: 2.5 times the retention time of acarbose.
Identification of impurities: Use the chromatogram supplied with acarbose for peak identification CRS and the chromatogram obtained with reference solution (b) to identify the peaks due to impurities A, B, C, D, E, F and G.
Relative retention: With reference to acarbose (retention time = about 16 min): impurity D = about 0.5;
impurity B = about 0.8; impurity A = about 0.9; impurity C = about 1.2; impurity E = about 1.7; impurity F = about 1.9; impurity G = about 2.2.
System suitability Reference solution (b):
— the chromatogram obtained is similar to the chromatogram supplied with acarbose for peak identification CRS;
— peak-to-valley ratio: minimum 1.2, where Hp = height above the baseline of the peak due to impurity A and Hv = height above the baseline of the lowest point of the curve separating this peak from the peak due to acarbose.
Limits:
— correction factors: for the calculation of content, multiply the peak areas of the following impurities by the corresponding correction factor: impurity B = 0.63; impurity D = 0.75; impurity E = 1.25; impurity F = 1.25; impurity G = 1.25;
— impurity C: not more than 1.5 times the area of the principal peak in the chromatogram obtained with reference solution (c) (1.5 per cent);
— impurity D: not more than the area of the principal peak in the chromatogram obtained with reference solution (c) (1.0 per cent);
— impurity A: not more than 0.6 times the area of the principal peak in the chromatogram obtained with reference solution (c) (0.6 per cent);
— impurity B: not more than 0.5 times the area of the principal peak in the chromatogram obtained with reference solution (c) (0.5 per cent);
— impurities F, G: for each impurity, not more than 0.3 times the area of the principal peak in the chromatogram obtained with reference solution (c) (0.3 per cent);
— impurity E: not more than 0.2 times the area of the principal peak in the chromatogram obtained with reference solution (c) (0.2 per cent);
— any other impurity: for each impurity, not more than 0.2 times the area of the principal peak in the chromatogram obtained with reference solution (c) (0.2 per cent);
— total: not more than 3 times the area of the principal peak in the chromatogram obtained with reference solution (c) (3.0 per cent);
— disregard limit: 0.1 times the area of the principal peak in the chromatogram obtained with reference solution (c) (0.1 per cent).
Water (2.5.12)
Maximum 4.0 per cent, determined on 0.300 g.
Sulfated ash (2.4.14)
Maximum 0.2 per cent, determined on 1.0 g.
ASSAY
Liquid chromatography (2.2.29) as described in the test for related substances with the following modification.
Injection: Test solution and reference solution (a).
Calculate the percentage content of C25H43NO18 taking into account the assigned content of acarbose CRS.
STORAGE
In an airtight container.
IMPURITIES
Specified impurities A, B, C, D, E, F, G.
Other detectable impurities (the following substances would, if present at a sufficient level, be detected by one or other of the tests in the monograph. They are limited by the general acceptance criterion for other/unspecified impurities. It is therefore not necessary to identify these impurities for demonstration of compliance. See also 5.10. Control of impurities in substances for pharmaceutical use) H.

A. O-4,6-dideoxy-4-[[(1S,4R,5S,6S)-4,5,6-trihydroxy-3-(hydroxymethyl)cyclohex-2-enyl]amino]-α-D-glucopyranosyl-(1→4)-O-α-D-glucopyranosyl-(1→4)-D-arabino-hex-2-ulopyranose,

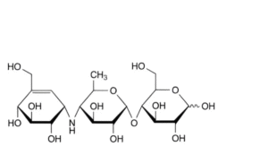
B. (1R,4R,5S,6R)-4,5,6-trihydroxy-2-(hydroxymethyl)cyclohex-2-enyl 4-O-[4,6-dideoxy-4 [[(1S,4R,5S,6S)-4,5,6-trihydroxy-3-(hydroxymethyl)cyclohex-2-enyl]amino]-α-D-glucopyranosyl]-α-D-glucopyranoside,

C. α-D-glucopyranosyl 4-O-[4,6-dideoxy-4-[[(1S,4R,5S,6S)-4,5,6-trihydroxy-3-(hydroxymethyl)cyclohex-2-enyl]amino]-α-D -glucopyranosyl]-α-D-glucopyranoside,

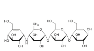
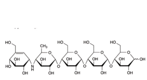
D. 4-O-[4,6-dideoxy-4-[[(1S,4R,5S,6S)-4,5,6-trihydroxy-3-(hydroxymethyl)cyclohex-2-enyl]amino]-α-D glucopyranosyl]-D-glucopyranose,

E. O-4,6-dideoxy-4-[[(1S,4R,5S,6S)-4,5,6-trihydroxy-3-(hydroxymethyl)cyclohex-2-enyl]amino]-α-D-glucopyranosyl-(1→4)-O-α-D-glucopyranosyl-(1→4)-O-α-D-glucopyranosyl-(1→4)-D-arabino-hex-2-ulopyranose (4-O-α-acarbosyl-D-fructopyranose),

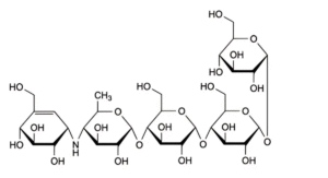
F. O-4,6-dideoxy-4-[[(1S,4R,5S,6S)-4,5,6-trihydroxy-3-(hydroxymethyl)cyclohex-2-enyl]amino]-α-D-glucopyranosyl-(1→4)-O-α-D-glucopyranosyl-(1→4)-O-α-D-glucopyranosyl-(1→4)-D-glucopyranose (4-O-α-acarbosyl-D-glucopyranose),

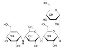
G. α-D-glucopyranosyl O-4,6-dideoxy-4-[[(1S,4R,5S,6S)-4,5,6-trihydroxy-3-(hydroxymethyl)cyclohex-2-enyl]amino]-α-D-glucopyranosyl-(1→4)-O-α-D-glucopyranosyl-(1→4)-O-α-D-glucopyranoside (α-D-glucopyranosyl α-acarboside),

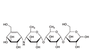
H. O-4,6-dideoxy-4-[[(1S,4R,5S,6S)-4,5,6-trihydroxy-3-(hydroxymethyl)cyclohex-2-enyl]amino]-α-D-glucopyranosyl-(1→4)-O-6-deoxy-α-D-glucopyranosyl-(1→4)-D-glucopyranose.






