(Ph. Eur. monograph 2589)
C28H38N12O6S 671 188062-50-2
Action and use
Nucleoside reverse transcriptase inhibitor; antiviral (HIV).
Preparations
Abacavir Oral Solution
Abacavir Tablets
Abacavir, Zidovudine and Lamivudine Tablets
Abacavir and Lamivudine Tablets
DEFINITION
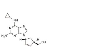
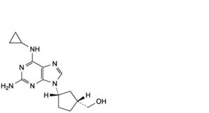
Bis[[(1S,4R)-4-[2-amino-6-(cyclopropylamino)-9H-purin-9-yl]cyclopent-2-enyl]methanol] sulfate.
Content
99.0 per cent to 101.0 per cent (anhydrous substance).
CHARACTERS
Appearance
White or almost white powder.
Solubility
Soluble in water, practically insoluble in ethanol (96 per cent) and in methylene chloride.
IDENTIFICATION
A. Infrared absorption spectrophotometry (2.2.24).
Comparison abacavir sulfate CRS.
B. Enantiomeric purity (see Tests).
C. Solution S (see Tests) gives reaction (a) of sulfates (2.3.1).
TESTS
Solution S
Dissolve 0.250 g in water R and dilute to 25.0 mL with the same solvent.
Enantiomeric purity
Liquid chromatography (2.2.29).
Solution A: Mix 0.5 mL of trifluoroacetic acid R and 100 mL of methanol R.
Solution B: Mix 30 volumes of methanol R, 30 volumes of 2-propanol R and 40 volumes of heptane R.
Test solution: Dissolve 40 mg of the substance to be examined in 30 mL of solution A. Sonicate until dissolution is complete. Add 30 mL of 2-propanol R and dilute to 100.0 mL with heptane R.
Reference solution: (a) Dissolve 2 mg of abacavir for system suitability CRS (containing impurities A and D) in 1.5 mL of solution A. Sonicate until dissolution is complete. Add 1.5 mL of 2-propanol R and dilute to 5.0 mL with heptane R.
Reference solution (b): Dilute 1.0 mL of the test solution to 100.0 mL with solution B. Dilute 1.0 mL of this solution to 10.0 mL with solution B.
Column:
— size: l = 0.25 m, Ø = 4.6 mm;
— stationary phase: amylose derivative of silica gel for chiral separation R (10 μm);— temperature: 30 °C.
Mobile phase:
— mobile phase A: diethylamine R, 2-propanol R, heptane R (0.1:15:85 V/V/V);
— mobile phase B: heptane R, 2-propanol R (50:50 V/V);
| Time (min) |
Mobile phase A (per cent V/V) |
Mobile phase B (per cent V/V) |
| 0 – 25 | 100 | 0 |
| 25 – 27 | 100 → 0 | 0 → 100 |
| 27 – 37 | 0 | 100 |
Flow rate: 1.0 mL/min.
Detection: Spectrophotometer at 286 nm.
Injection 20 μL.
Identification of impurities Use the chromatogram supplied with abacavir for system suitability CRS and the chromatogram obtained with reference solution (a) to identify the peaks due to impurities A and D.
Relative retention With reference to abacavir (retention time = about 17 min): impurity D = about 0.8; impurity A = about 0.9.
System suitability Reference solution (a):
— resolution: minimum 1.5 between the peaks due to impurities D and A; minimum 1.5 between the peaks due to impurity A and abacavir.
Limit:
— impurity A: not more than 3 times the area of the principal peak in the chromatogram obtained with reference solution (b) (0.3 per cent).
Related substances
Liquid chromatography (2.2.29). Prepare the solutions immediately before use and transfer them to low-adsorption, inert glass vials.
Test solution Dissolve 25 mg of the substance to be examined in water R and dilute to 100.0 mL with the same solvent.
Sonicate until dissolution is complete.
Reference solution (a) Dissolve 2.5 mg of abacavir for peak identification CRS (containing impurities B and D) in 10.0 mL of water R.
Reference solution (b) Dilute 1.0 mL of the test solution to 100.0 mL with water R. Dilute 1.0 mL of this solution to 10.0 mL with water R.
Column:
— size: l = 0.15 m, Ø = 3.9 mm;
— stationary phase: end-capped octadecylsilyl silica gel for chromatography R (5 μm);
— temperature: 30 °C.
Mobile phase:
— mobile phase A: dilute 0.5 mL of trifluoroacetic acid R in 1000 mL of water R;
— mobile phase B: water R, methanol R (15:85 V/V);
| Time (min) |
Mobile phase A (per cent V/V) |
Mobile phase B (per cent V/V) |
| 0 – 5 | 95 | 5 |
| 5 – 25 | 95 → 70 | 5 → 30 |
| 25 – 40 | 70 → 10 | 30 → 90 |
Flow rate: 1.0 mL/min.
Detection: Spectrophotometer at 254 nm.
Injection: 20 μL.
Identification of impurities: Use the chromatogram supplied with abacavir for peak identification CRS and the chromatogram obtained with reference solution (a) to identify the peaks due to impurities B and D.
Relative retention: With reference to abacavir (retention time = about 22 min): impurity D = about 1.04; impurity B = about 1.3.
System suitability: Reference solution (a):
— peak-to-valley ratio: minimum 3.0, where Hp = height above the baseline of the peak due to impurity D and Hv = height above the baseline of the lowest point of the curve separating this peak from the peak due to abacavir.
Limits:
— impurity B: not more than twice the area of the principal peak in the chromatogram obtained with reference solution (b) (0.2 per cent);
— unspecified impurities: for each impurity, not more than the area of the principal peak in the chromatogram obtained with reference solution (b) (0.10 per cent);
— total: not more than 5 times the area of the principal peak in the chromatogram obtained with reference solution (b) (0.5 per cent);
— disregard limit: 0.5 times the area of the principal peak in the chromatogram obtained with reference solution (b) (0.05 per cent).
Water (2.5.32)
Maximum 0.5 per cent, determined on 60.0 mg.
Sulfated ash (2.4.14)
Maximum 0.2 per cent, determined on 1.0 g.
ASSAY
Dissolve 0.300 g in 50 mL of water R. Titrate with 0.1 M sodium hydroxide, determining the end-point potentiometrically (2.2.20).
1 mL of 0.1 M sodium hydroxide is equivalent to 33.54 mg of C28H38N12O6S.
IMPURITIES
Specified impurities A, B.
Other detectable impurities (the following substances would, if present at a sufficient level, be detected by one or other of the tests in the monograph. They are limited by the general acceptance criterion for other/unspecified impurities and/or by the general monograph Substances for pharmaceutical use (2034). It is therefore not necessary to identify these impurities for demonstration of compliance. See also 5.10. Control of impurities in substances for pharmaceutical use) C, D, E, F.

A. [(1R,4S)-4-[2-amino-6-(cyclopropylamino)-9H-purin-9-yl]cyclopent-2-enyl]methanol,

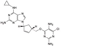
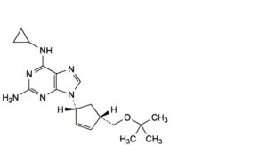
B. 6-(cyclopropylamino)-9-[(1R,4S)-4-[[(2,5-diamino-6-chloropyrimidin-4-yl)oxy]methyl]cyclopent-2-enyl]-9H-purine-2-amine,

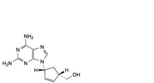
C. [(1S,4R)-4-(2,6-diamino-9H-purin-9-yl)cyclopent-2-enyl]methanol,

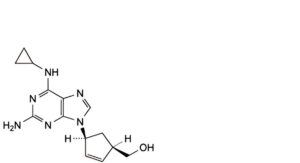
D. [(1R,4R)-4-[2-amino-6-(cyclopropylamino)-9H-purin-9-yl]cyclopent-2-enyl]methanol,

E. [(1R,3S)-3-[2-amino-6-(cyclopropylamino)-9H-purin-9-yl]cyclopentyl]methanol,

F. 6-(cyclopropylamino)-9-[(1R,4S)-4-[[(1,1-dimethylethyl)oxy]methyl]cyclopent-2-enyl]-9H-purine-2-amine.






