(Perindopril tert-Butylamine, Ph. Eur. monograph 2019)
C23H43N3O5 441.6 107133-36-8
Action and use
Angiotensin converting enzyme inhibitor.
Preparation
Perindopril Erbumine Tablets
DEFINITION
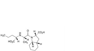
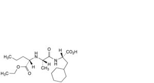
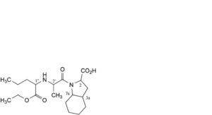
2-Methylpropan-2-amine (2S,3aS,7aS)-1-[(2S)-2-[[(1S)-1-(ethoxycarbonyl)butyl]amino]propanoyl]octahydro-1H-indole-2- carboxylate.
Content
99.0 per cent to 101.0 per cent (anhydrous substance).
CHARACTERS
Appearance
White or almost white, slightly hygroscopic, crystalline powder.
Solubility
Freely soluble in water and in ethanol (96 per cent), soluble or sparingly soluble in methylene chloride.
It shows polymorphism (5.9).
IDENTIFICATION
A. Specific optical rotation (2.2.7): -69 to -66 (anhydrous substance).
Dissolve 0.250 g in ethanol (96 per cent) R and dilute to 25.0 mL with the same solvent.
B. Infrared absorption spectrophotometry (2.2.24).
Comparison: perindopril tert-butylamine CRS.
If the spectra obtained show differences, dissolve the substance to be examined and the reference substance separately in methylene chloride R, evaporate to dryness and record new spectra using the residues.
C. Examine the chromatograms obtained in the test for impurity A.
Results: In the chromatogram obtained with the test solution a spot is observed with the same RF as the spot with the higher RF in the chromatogram obtained with reference solution (c) (tert-butylamine).
TESTS
Impurity A
Thin-layer chromatography (2.2.27).
Test solution: Dissolve 0.20 g of the substance to be examined in methanol R and dilute to 10.0 mL with the same solvent.
Reference solution (a): Dissolve 5 mg of perindopril impurity A CRS in methanol R and dilute to 25.0 mL with the same solvent.
Reference solution (b): Dilute 5.0 mL of reference solution (a) to 20.0 mL with methanol R.
Reference solution (c): To 5 mL of reference solution (a) add 5 mL of a 20 g/L solution of 1,1-dimethylethylamine R in methanol R.
Plate: TLC silica gel plate R.
Mobile phase: glacial acetic acid R, toluene R, methanol R (1:40:60 V/V/V).
Application: 10 μL of the test solution and reference solutions (b) and (c).
Development: Over 2/3 of the plate.
Drying: In a current of warm air.
Detection: Expose to iodine vapour for at least 20 h.
System suitability: Reference solution (c):
— the chromatogram shows 2 clearly separated spots.
Limit:
— impurity A: any spot due to impurity A is not more intense than the spot in the chromatogram obtained with reference solution (b) (0.25 per cent).
Stereochemical purity
Liquid chromatography (2.2.29).
Test solution: Dissolve 20 mg of the substance to be examined in ethanol (96 per cent) R and dilute to 10.0 mL with the same solvent.
Reference solution (a): Dilute 1.0 mL of the test solution to 100.0 mL with ethanol (96 per cent) R. Dilute 1.0 mL of this solution to 10.0 mL with ethanol (96 per cent) R.
Reference solution (b): Dissolve 10 mg of perindopril for stereochemical purity CRS (containing impurity I) in ethanol (96 per cent) R and dilute to 5 mL with the same solvent.
Column:
— size: l = 0.25 m, Ø = 4.6 mm;
— stationary phase: base-deactivated end-capped octadecylsilyl silica gel for chromatography R (5 μm);
— temperature: 50 °C for the column and the tubing preceding the column (the method has been developed with a temperature of 50 °C for at least 30 cm of the tubing preceding the column).
Mobile phase: Mix, in the following order, 21.7 volumes of acetonitrile R1, 0.3 volumes of pentanol R, and 78 volumes of a 1.50 g/L solution of sodium heptanesulfonate R previously adjusted to pH 2.0 with a mixture of equal volumes of perchloric acid R and water for chromatography R.
Flow rate: 0.8 mL/min.
Detection: Spectrophotometer at 215 nm.
Equilibration: Minimum 4 h.
Injection: 10 μL.
Identification of impurities: Use the chromatogram supplied with perindopril for stereochemical purity CRS and the chromatogram obtained with reference solution (b) to identify the peak due to impurity I.
Run time: 1.5 times the retention time of perindopril.
Relative retention: With reference to perindopril (retention time = about 100 min): impurity I = about 0.9.
System suitability:
— the chromatogram obtained with reference solution (b) is similar to the chromatogram supplied with perindopril for stereochemical purity CRS;
— signal-to-noise ratio: minimum 3 for the principal peak in the chromatogram obtained with reference solution (a);
— peak-to-valley ratio: minimum 3, where Hp = height above the baseline of the peak due to impurity I and Hv = height above the baseline of the lowest point of the curve separating this peak from the peak due to perindopril in the chromatogram obtained with reference solution (b).
Limits:
— impurity I: not more than the area of the principal peak in the chromatogram obtained with reference solution (a) (0.1 per cent);
— unspecified impurities: for each impurity, not more than the area of the principal peak in the chromatogram obtained with reference solution (a) (0.10 per cent);
— disregard limit: disregard any peak with a relative retention with reference to perindopril of less than 0.6 or more than 1.4.
Related substances
Liquid chromatography (2.2.29). Prepare the solutions immediately before use or maintain them at a temperature below 10 °C.
Test solution: Dissolve 60 mg of the substance to be examined in mobile phase A and dilute to 20.0 mL with mobile phase A.
Reference solution (a): Dissolve 3 mg of perindopril for peak identification CRS (containing impurities B, E, F, H and K) in 1 mL of mobile phase A.
Reference solution (b): Dilute 1.0 mL of the test solution to 200.0 mL with mobile phase A.
Reference solution (c): Dilute 1.0 mL of reference solution (b) to 10.0 mL with mobile phase A.
Column:
— size: l = 0.15 m, Ø = 4 mm;
— stationary phase: end-capped octylsilyl silica gel for chromatography R (5 μm);
— temperature: 60 °C for the column and the tubing preceding the column.
Mobile phase:
— mobile phase A: water for chromatography R adjusted to pH 2.5 with a mixture of equal volumes of perchloric acid R; and water for chromatography R;
— mobile phase B: 0.03 per cent V/V solution of perchloric acid R in acetonitrile R1;
| Time (min) |
Mobile phase A (per cent V/V) |
Mobile phase B (per cent V/V) |
| 0 – 5 | 95 | 5 |
| 5 – 60 | 95 → 40 | 5 → 60 |
Flow rate: 1.0 mL/min.
Detection: Spectrophotometer at 215 nm.
Injection: 20 μL.
Identification of impurities: Use the chromatogram supplied with perindopril for peak identification CRS and the chromatogram obtained with reference solution (a) to identify the peaks due to impurities B, E, F, H and K.
Relative retention: With reference to perindopril (retention time = about 25 min): impurity B = about 0.68; impurity K = about 0.72; impurity E = about 1.2; impurity F = about 1.6; impurity H = about 1.8 (impurity H may be eluted as 1 or 2 peaks).
System suitability: Reference solution (a):
— peak-to-valley ratio: minimum 3, where Hp = height above the baseline of the peak due to impurity B and Hv = height above the baseline of the lowest point of the curve separating this peak from the peak due to impurity K.
Limits:
— impurity E: not more than 0.8 times the area of the principal peak in the chromatogram obtained with reference solution (b) (0.4 per cent);
— impurity B: not more than 0.6 times the area of the principal peak in the chromatogram obtained with reference solution (b) (0.3 per cent);
— impurities F, H: for each impurity, not more than 0.4 times the area of the principal peak in the chromatogram obtained with reference solution (b) (0.2 per cent);
— unspecified impurities: for each impurity, not more than 0.2 times the area of the principal peak in the chromatogram obtained with reference solution (b) (0.10 per cent);
— total: not more than twice the area of the principal peak in the chromatogram obtained with reference solution (b) (1.0 per cent);
— disregard limit: the area of the principal peak in the chromatogram obtained with reference solution (c) (0.05 per cent).
Water (2.5.12)
Maximum 1.0 per cent, determined on 0.50 g.
Sulfated ash (2.4.14)
Maximum 0.1 per cent, determined on 1.0 g.
ASSAY
Dissolve 0.160 g in 50 mL of anhydrous acetic acid R. Titrate with 0.1 M perchloric acid, determining the end-point potentiometrically (2.2.20).
1 mL of 0.1 M perchloric acid is equivalent to 22.08 mg of C23H43N3O5.
STORAGE
In an airtight container.
IMPURITIES
Specified impurities A, B, E, F, H, I.
Other detectable impurities (the following substances would, if present at a sufficient level, be detected by one or other of the tests in the monograph. They are limited by the general acceptance criterion for other/unspecified impurities and/or by the general monograph Substances for pharmaceutical use (2034). It is therefore not necessary to identify these impurities for demonstration of compliance. See also 5.10.Control of impurities in substances for pharmaceutical use) C, D, G, J, K, L, M, N, O, P, Q, R, S, T, U, V, W, X, Y, Z, AA, BB, CC.

A. (2S,3aS,7aS)-octahydro-1H-indole-2-carboxylic acid,

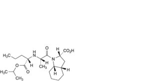
B. (2S,3aS,7aS)-1-[(2S)-2-[[(1S)-1-carboxybutyl]amino]propanoyl]octahydro-1H-indole-2-carboxylic acid (perindoprilat),

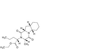
C. (2S)-2-[(3S,5aS,9aS,10aS)-3-methyl-1,4-dioxodecahydropyrazino[1,2-a]indol-2(1H)-yl]pentanoic acid,

D. (2S)-2-[(3S,5aS,9aS,10aR)-3-methyl-1,4-dioxodecahydropyrazino[1,2-a]indol-2(1H)-yl]pentanoic acid,

E. (2S,3aS,7aS)-1-[(2S)-2-[[(1S)-1-[(1-methylethoxy)carbonyl]butyl]amino]propanoyl]octahydro-1H-indole-2-carboxylic acid,

F. ethyl (2S)-2-[(3S,5aS,9aS,10aS)-3-methyl-1,4-dioxodecahydropyrazino[1,2-a]indol-2(1H)-yl]pentanoate,

G. (2S,3aS,7aS)-1-[(2S)-2-[(5RS)-3-cyclohexyl-2,4-dioxo-5-propylimidazolidin-1-yl]propanoyl]octahydro-1H-indole-2- carboxylic acid,

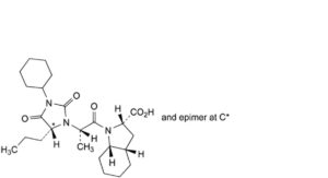
H. (2S,3aS,7aS)-1-[(2S)-2-[(5RS)-3-cyclohexyl-2-(cyclohexylimino)-4-oxo-5-propylimidazolidin-1-yl]propanoyl]octahydro-1H-indole-2-carboxylic acid,

I. (2RS,3aRS,7aRS)-1-[(2RS)-2-[[(1SR)-1-(ethoxycarbonyl)butyl]amino]propanoyl]octahydro-1H-indole-2-carboxylic acid ((±)-1′′-epi-perindopril),

J. (2S,3aS,7aS)-1-[(2S)-2-aminopropanoyl]octahydro-1H-indole-2-carboxylic acid,

K. (3S,5aS,9aS,10aS)-3-methyldecahydropyrazino[1,2-a]indole-1,4-dione,

L. (2S,3aS,7aS)-1-acetyloctahydro-1H-indole-2-carboxylic acid,

M. (2S,3aS,7aS)-1-[(2S)-2-[[(1S)-1-(methoxycarbonyl)butyl]amino]propanoyl]octahydro-1H-indole-2-carboxylic acid,

N. (2S)-3-cyclohexyl-2-[[(2S)-2-[[(1S)-1-(ethoxycarbonyl)butyl]amino]propanoyl]amino]propanoic acid,

O. (2S,3aS,7aS)-1-[[(2S,3aS,7aS)-1-[(2S)-2-[[(1S)-1-(ethoxycarbonyl)butyl]amino]propanoyl]octahydro-1H-indol-2-yl]carbonyl]octahydro-1H-indole-2-carboxylic acid,

1-[2-[[1-(ethoxycarbonyl)butyl]amino]propanoyl]octahydro-1H-indole-2-carboxylic acid,
P. (2RS,3aRS,7aRS)-, (2′SR)-, (1′′RS)-:
(±)-2′-epi-perindopril,
Q. (2RS,3aRS,7aSR)-, (2′RS)-, (1′′RS)-:
(±)-7a-epi-perindopril,
R. (2RS,3aSR,7aRS)-, (2′RS)-, (1′′RS)-:
(±)-3a-epi-perindopril,
S. (2SR,3aRS,7aRS)-, (2′RS)-, (1′′RS)-:
(±)-2-epi-perindopril,
T. (2RS,3aRS,7aRS)-, (2′SR)-, (1′′SR)-:
(±)-1′′,2′-di-epi-perindopril,
U. (2RS,3aRS,7aSR)-, (2′RS)-, (1′′SR)-:
(±)-1′′,7a-di-epi-perindopril,
V. (2SR,3aSR,7aRS)-, (2′RS)-, (1′′RS)-:
(±)-2,3a-di-epi-perindopril,
W. (2SR,3aRS,7aRS)-, (2′RS)-, (1′′SR)-:
(±)-1′′,2-di-epi-perindopril,
X. (2SR,3aRS,7aSR)-, (2′RS)-, (1′′RS)-:
(±)-2,7a-di-epi-perindopril,
Y. (2SR,3aRS,7aRS)-, (2′SR)-, (1′′RS)-:
(±)-2,2′-di-epi-perindopril,
Z. (2RS,3aSR,7aRS)-, (2′RS)-, (1′′SR)-:
(±)-1′′,3a-di-epi-perindopril,
AA. (2RS,3aSR,7aSR)-, (2′RS)-, (1′′RS)-:
(±)-3a,7a-di-epi-perindopril,
BB. (2RS,3aSR,7aRS)-, (2′SR)-, (1′′RS)-:
(±)-2′,3a-di-epi-perindopril,
CC. (2RS,3aRS,7aSR)-, (2′SR)-, (1′′RS)-:
(±)-2′,7a-di-epi-perindopril.






