(Ph. Eur. monograph 1752)
C9H13N5O4 255.2 82410-32-0
Action and use
Antiviral (cytomegalovirus).
DEFINITION
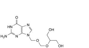
2-Amino-9-[[2-hydroxy-1-(hydroxymethyl)ethoxy]methyl]-1,9-dihydro-6H-purin-6-one.
Content
99.0 per cent to 101.0 per cent (anhydrous substance).
CHARACTERS
Appearance
White or almost white, hygroscopic, crystalline powder.
Solubility
Slightly soluble in water, very slightly soluble in ethanol (96 per cent). It dissolves in dilute solutions of mineral acids and alkali hydroxides.
It shows polymorphism (5.9).
IDENTIFICATION
Infrared absorption spectrophotometry (2.2.24).
Comparison: ganciclovir CRS.
If the spectra obtained in the solid state show differences, dissolve 0.10 g of the substance to be examined and the reference substance separately in about 3.6 mL of water R at 80 °C. Allow to cool in an ice-bath and filter the precipitate.
Dry in an oven at 105 °C for 3 h and record new spectra using the residues.
TESTS
Appearance of solution
The solution is clear (2.2.1) and not more intensely coloured than reference solution Y5 (2.2.2, Method II).
Dissolve 1.25 g in a 40 g/L solution of sodium hydroxide R and dilute to 25 mL with the same solution.
Related substances
Liquid chromatography (2.2.29).
Test solution: Dissolve 30 mg of the substance to be examined in the mobile phase with the aid of ultrasound and dilute to 50.0 mL with the mobile phase.
Reference solution (a): Dilute 1.0 mL of the test solution to 100.0 mL with the mobile phase. Dilute 1.0 mL of this solution to 10.0 mL with the mobile phase.
Reference solution (b): Dissolve 3 mg of ganciclovir CRS in the mobile phase with the aid of ultrasound and dilute to 5.0 mL with the mobile phase.
Reference solution (c): Dissolve the contents of a vial of ganciclovir impurity mixture CRS (impurities A, B, C, D, E and F) in 1.0 mL of reference solution (b).
Column:
— size: l = 0.25 m, Ø = 4.6 mm;
— stationary phase: strong cation-exchange silica gel for chromatography R (10 μm);
— temperature: 40 °C.
Mobile phase: Mix equal volumes of acetonitrile R and a 0.05 per cent V/V solution of trifluoroacetic acid R.
Flow rate: 1.5 mL/min.
Detection: Spectophotometer at 254 nm.
Injection: 20 μL.
Run time: 2.5 times the retention time of ganciclovir.
Identification of impurities: Use the chromatogram supplied with ganciclovir impurity mixture CRS and the chromatogram obtained with reference solution (c) to identify the peaks due to impurities A, B, C, D, E and F.
Relative retention: With reference to ganciclovir (retention time = about 14 min): impurity A = about 0.6; impurity B = about 0.67; impurity C = about 0.71; impurity D = about 0.8; impurity E = about 0.9; impurity F = about 2.0.
System suitability: Reference solution (c):
— peak-to-valley ratio: minimum 5, where Hp = height above the baseline of the peak due to impurity E and Hv = height above the baseline of the lowest point of the curve separating this peak from the peak due to ganciclovir.
Limits:
— correction factors: for the calculation of content, multiply the peak areas of the following impurities by the corresponding correction factor: impurity B = 1.3; impurity F = 0.7;
— impurity F: not more than 4 times the area of the principal peak in the chromatogram obtained with reference solution (a) (0.4 per cent);
— impurity B: not more than twice the area of the principal peak in the chromatogram obtained with reference solution (a) (0.2 per cent);
— impurities A, C, D, E: for each impurity, not more than 1.5 times the area of the principal peak in the chromatogram obtained with reference solution (a) (0.15 per cent);
— unspecified impurities: for each impurity, not more than 0.5 times the area of the principal peak in the chromatogram obtained with reference solution (a) (0.05 per cent);
— total: not more than 6 times the area of the principal peak in the chromatogram obtained with reference solution (a) (0.6 per cent);
— disregard limit: 0.3 times the area of the principal peak in the chromatogram obtained with reference solution (a) (0.03 per cent).
Water (2.5.12)
Maximum 4.0 per cent, determined on 0.300 g.
Use methanol R as solvent. The substance to be examined has limited solubility in methanol. The sample will appear as a slurry. Replace the solvent after each titration.
Sulfated ash (2.4.14)
Maximum 0.1 per cent, determined on 1.0 g.
Bacterial endotoxins (2.6.14)
Less than 0.84 IU/mg, if intended for use in the manufacture of parenteral preparations without a further appropriate procedure for the removal of bacterial endotoxins.
ASSAY
Dissolve 0.200 g in 10 mL of anhydrous formic acid R and dilute to 60 mL with glacial acetic acid R. Titrate with 0.1 M perchloric acid, determining the end point potentiometrically (2.2.20).
1 mL of 0.1 M perchloric acid is equivalent to 25.52 mg of C9H13N5O4.
STORAGE
In an airtight container.
IMPURITIES
Specified impurities A, B, C, D, E, F.
Other detectable impurities (the following substances would, if present at a sufficient level, be detected by one or other of the tests in the monograph. They are limited by the general acceptance criterion for other/unspecified impurities and/or by the general monograph Substances for pharmaceutical use (2034). It is therefore not necessary to identify these impurities for demonstration of compliance. See also 5.10. Control of impurities in substances for pharmaceutical use) H, I, J.

A. 2-amino-9-[[(2-chloroprop-2-en-1-yl)oxy]methyl]-1,9-dihydro-6H-purin-6-one,

B. (2RS)-2-[(2-amino-6-oxo-1,6-dihydro-9H-purin-9-yl)methoxy]-3-hydroxypropyl propionate,

C. 2-amino-9-[[(1RS)-2-chloro-1-(hydroxymethyl)ethoxy]methyl]-1,9-dihydro-6H-purin-6-one,

D. 2-amino-9-[[[2-hydroxy-1-(hydroxymethyl)ethoxy]methoxy]methyl]-1,9-dihydro-6H-purin-6-one,

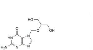
E. 2-amino-9-[[(2RS)-2,3-dihydroxypropoxy]methyl]-1,9-dihydro-6H-purin-6-one,

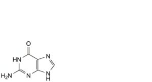
F. 2-amino-1,9-dihydro-6H-purin-6-one (guanine),

H. 2-amino-7-[[2-hydroxy-1-(hydroxymethyl)ethoxy]methyl]-1,7-dihydro-6H-purin-6-one,

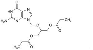
I. 2-[(2-amino-6-oxo-1,6-dihydro-9H-purin-9-yl)methoxy]propane-1,3-diyl dipropanoate,

J. 2-[2-(propanoylamino)-6-oxo-1,6-dihydro-9H-purin-9-yl]methoxy]propane-1,3-diyl dipropanoate.






