Framycetin Sulphate
(Ph. Eur. monograph 0180)
C23H46N6O13,xH2SO4 615 (base) 4146-30-9
Action and use
Antibacterial.
DEFINITION
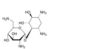
Sulfate of 2-deoxy-4-O-(2,6-diamino-2,6-dideoxy-α-D-glucopyranosyl)-5-O-[3-O-(2,6-diamino-2,6-dideoxy-β-L-idopyranosyl)-β-D-ribofuranosyl]-D-streptamine (neomycin B).
Substance produced by the growth of selected strains of Streptomyces fradiae or Streptomyces decaris or obtained by any other means.
Content
Minimum of 630 IU/mg (dried substance).
CHARACTERS
Appearance
White or yellowish-white powder, hygroscopic.
Solubility
Freely soluble in water, very slightly soluble in ethanol (96 per cent), practically insoluble in acetone.
IDENTIFICATION
A. Examine the chromatograms obtained in the test for related substances.
Results:
— the retention time of the principal peak in the chromatogram obtained with the test solution is approximately the same as that of the principal peak in the chromatogram obtained with reference solution (a),
— it complies with the limit given for impurity C.
B. It gives reaction (a) of sulfates (2.3.1).
TESTS
pH (2.2.3)
6.0 to 7.0.
Dissolve 0.1 g in carbon dioxide-free water R and dilute to 10 mL with the same solvent.
Specific optical rotation (2.2.7)
+ 52.5 to + 55.5 (dried substance).
Dissolve 1.00 g in water R and dilute to 10.0 mL with the same solvent
Related substances
Liquid chromatography (2.2.29).
Test solution: Dissolve 25.0 mg of the substance to be examined in the mobile phase and dilute to 50.0 mL with the mobile phase.
Reference solution (a): Dissolve the contents of a vial of framycetin sulfate CRS in the mobile phase and dilute with the mobile phase to obtain a solution containing 0.5 mg/mL.
Reference solution (b): Dilute 3.0 mL of reference solution (a) to 100.0 mL with the mobile phase.
Reference solution (c): Dilute 1.0 mL of reference solution (a) to 100.0 mL with the mobile phase.
Reference solution (d): Dissolve the contents of a vial of neamine CRS (corresponding to 0.5 mg) in the mobile phase and dilute to 100.0 mL with the mobile phase.
Reference solution (e) Dissolve 10 mg of neomycin sulfate CRS in the mobile phase and dilute to 100.0 mL with the mobile phase.
Column:
— size: l = 0.25 m, Ø = 4.6 mm,
— stationary phase: base-deactivated octadecylsilyl silica gel for chromatography R (5 μm),
— temperature: 25 °C.
Mobile phase Mix 20.0 mL of trifluoroacetic acid R, 6.0 mL of carbonate-free sodium hydroxide solution R and 500 mL of water R, allow to equilibrate, dilute to 1000 mL with water R and degas.
Flow rate 0.7 mL/min.
Post-column solution carbonate-free sodium hydroxide solution R diluted 1 in 25 previously degassed, which is added pulse-less to the column effluent using a 375 μL polymeric mixing coil.
Flow rate 0.5 mL/min.
Detection: Pulsed amperometric detector with a gold working electrode, a silver-silver chloride reference electrode and a stainless steel auxiliary electrode which is the cell body, held at respectively 0.00 V detection, + 0.80 V oxidation and -0.60 V reduction potentials, with pulse durations according to the instrument used.
Injection 10 μL.
Run time 1.5 times the retention time of neomycin B.
Relative retention With reference to neomycin B (retention time = about 10 min): impurity A = about 0.65;
impurity C = about 0.9; impurity G = about 1.1.
System suitability:
— resolution: minimum 2.0 between the peaks due to impurity C and to neomycin B in the chromatogram obtained with reference solution (e); if necessary, adjust the volume of the carbonate-free sodium hydroxide solution in the mobile phase,
— signal-to-noise ratio: minimum 10 for the principal peak in the chromatogram obtained with reference solution (c).
Limits:
— impurity A: not more than the area of the principal peak in the chromatogram obtained with reference solution (d) and taking into account the declared content of neamine CRS (1.0 per cent),
— impurity C: not more than the area of the principal peak in the chromatogram obtained with reference solution (b) (3.0 per cent),
— total of other impurities: not more than the area of the principal peak in the chromatogram obtained with reference solution (b) (3.0 per cent),
— disregard limit: area of the principal peak in the chromatogram obtained with reference solution (c) (1.0 per cent).
Sulfate
27.0 per cent to 31.0 per cent (dried substance).
Dissolve 0.250 g in 100 mL of water R and adjust the solution to pH 11 using concentrated ammonia R.
Add 10.0 mL of
0.1 M barium chloride and about 0.5 mg of phthalein purple R. Titrate with 0.1 M sodium edetate adding 50 mL of alcohol R when the colour of the solution begins to change and continuing the titration until the violet-blue colour disappears.
1 mL of 0.1 M barium chloride is equivalent to 9.606 mg of SO4.
Loss on drying (2.2.32)
Maximum 8.0 per cent, determined on 1.000 g by drying in vacuo at 60 °C at a pressure not exceeding 0.7 kPa for 3 h.
Sulfated ash (2.4.14)
Maximum 1.0 per cent, determined on 1.0 g.
Sterility (2.6.1)
If intended for introduction into body cavities without a further appropriate sterilisation procedure, it complies with the test for sterility.
Bacterial endotoxins (2.6.14, Method D)
Less than 1.3 IU/mg if intended for introduction into body cavities without a further appropriate procedure for the removal of bacterial endotoxins.
ASSAY
Carry out the microbiological assay of antibiotics (2.7.2). Use framycetin sulfate CRS as the reference substance.
STORAGE
In an airtight container, protected from light. If the substance is intended for introduction into body cavities, store in a sterile, tamper-evident container.
IMPURITIES

A. 2-deoxy-4-O-(2,6-diamino-2,6-dideoxy-α-D-glucopyranosyl)-D-streptamine (neamine or neomycin A-LP),

B. 3-N-acetyl-2-deoxy-4-O-(2,6-diamino-2,6-dideoxy-α-D-glucopyranosyl)-D-streptamine (3-acetylneamine),

C. 2-deoxy-4-O-(2,6-diamino-2,6-dideoxy-α-D-glucopyranosyl)-5-O-[3-O-(2,6-diamino-2,6-dideoxy-α-D-glucopyranosyl)-β-D-ribofuranosyl]-D-streptamine (neomycin C),

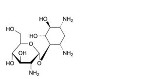
D. 4-O-(2-amino-2-deoxy-α-D-glucopyranosyl)-2-deoxy-D-streptamine (paromamine or neomycin D),

E. 4-O-(2-amino-2-deoxy-α-D-glucopyranosyl)-2-deoxy-5-O-[3-O-(2,6-diamino-2,6-dideoxy-β-L-idopyranosyl)-β-D-ribofuranosyl]-D-streptamine (paromomycin I or neomycin E),

F. 4-O-(2-amino-2-deoxy-α-D-glucopyranosyl)-2-deoxy-5-O-[3-O-(2,6-diamino-2,6-dideoxy-α-D-glucopyranosyl)-β-D-ribofuranosyl]-D-streptamine (paromomycin II or neomycin F),

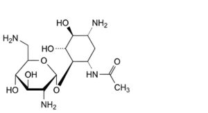
G. 3-N-acetyl-2-deoxy-4-O-(2,6-diamino-2,6-dideoxy-α-D-glucopyranosyl)-5-O-[3-O-(2,6-diamino-2,6-dideoxy-β-L-idopyranosyl)-β-D-ribofuranosyl]-D-streptamine (neomycin B-LP).






