(Ph. Eur. monograph 3049)
C22H28O2 324.5 54048-10-1
Action and use
Progestogen.
DEFINITION
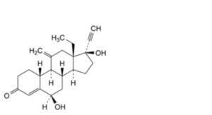
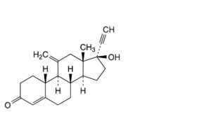
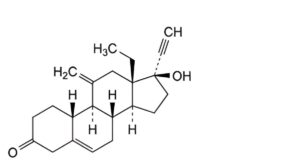
13-Ethyl-17-hydroxy-11-methylidene-18,19-dinor-17α-pregn-4-en-20-yn-3-one.
Content
98.0 per cent to 102.0 per cent (dried substance).
CHARACTERS
Appearance
White or almost white crystalline powder.
Solubility
Practically insoluble in water, soluble in ethanol (96.0 per cent), soluble in ethyl acetate, practically insoluble in heptane.
It shows polymorphism (5.9).
IDENTIFICATION
A. Infrared absorption spectrophotometry (2.2.24).
Comparison etonogestrel CRS.
If the spectra obtained in the solid state show differences, dissolve the substance to be examined and the reference substance separately in the minimum volume of anhydrous ethanol R, evaporate to dryness and record new spectra using the residues.
B. Specific optical rotation (see Tests).
TESTS
Specific optical rotation (2.2.7)
+ 84 to + 91 (dried substance).
Dissolve 0.250 g in anhydrous ethanol R and dilute to 25.0 mL with the same solvent.
Related substances
Liquid chromatography (2.2.29).
Solvent mixture water R, acetonitrile R (20:80 V/V).
Test solution (a): Dissolve 20.0 mg of the substance to be examined in the solvent mixture and dilute to 20.0 mL with the solvent mixture.
Test solution (b): Dilute 1.0 mL of test solution (a) to 10.0 mL with the solvent mixture.
Reference solution (a): Dissolve the contents of a vial of etonogestrel impurity mixture CRS (impurities D and E) in 1 mL of the test solution (a).
Reference solution (b): Dilute 1.0 mL of test solution (a) to 100.0 mL with the solvent mixture. Dilute 1.0 mL of this solution to 10.0 mL with the solvent mixture.
Reference solution (c): Dissolve 20.0 mg of etonogestrel CRS in the solvent mixture and dilute to 20.0 mL with the solvent mixture. Dilute 1.0 mL of the solution to 10.0 mL with the solvent mixture.
Column:
— size: l = 0.15 m, Ø = 4.6 mm;
— stationary phase: end-capped solid core octadecylsilyl silica gel for chromatography R (2.7 μm);
— temperature: 30 °C.
Mobile phase:
— mobile phase A: methanol R2, water for chromatography R (15:85 V/V);
— mobile phase B: acetonitrile R1;
| Time (min) |
Mobile phase A (per cent V/V) |
Mobile phase B (per cent V/V) |
| 0 – 30 | 75 → 60 | 25 → 40 |
| 30 – 68 | 60 → 10 | 40 → 90 |
Flow rate 1.0 mL/min.
Detection Spectrophotometer at 210 nm.
Injection 10 μL of test solution (a) and reference solutions (a) and (b).
Identification of impurities: Use the chromatogram supplied with etonogestrel impurity mixture CRS and the
chromatogram obtained with reference solution (a) to identify the peaks due to impurities D and E.
Relative retention: With reference to etonogestrel (retention time = about 24 min): impurity D = about 0.96;
impurity E = about 1.3.
System suitability Reference solution (a):
— resolution: minimum 2.0 between the peaks due to impurity D and etonogestrel.
Calculation of percentage contents:
— correction factor: multiply the peak area of impurity E by 1.6;
— for each impurity, use the concentration of etonogestrel in reference solution (b).
Limits:
— impurity E: maximum 0.4 per cent;
— unspecified impurities: for each impurity, maximum 0.10 per cent;
— total: maximum 0.8 per cent;
— reporting threshold: 0.05 per cent.
Loss on drying (2.2.32)
Maximum 0.5 per cent, determined on 1.000 g by drying in an oven at 105 °C.
Sulfated ash (2.4.14)
Maximum 0.1 per cent, determined on 2.0 g.
ASSAY
Liquid chromatography (2.2.29) as described in the test for related substances with the following modifications.
Injection Test solution (b) and reference solution (c).
Calculate the percentage content of C22H28O2 taking into account the assigned content of etonogestrel CRS.
IMPURITIES
Specified impurities E.
Other detectable impurities (the following substances would, if present at a sufficient level, be detected by one or other of the tests in the monograph. They are limited by the general acceptance criterion for other/unspecified impurities and/or by the general monograph Substances for pharmaceutical use (2034). It is therefore not necessary to identify these impurities for demonstration of compliance. See also 5.10. Control of impurities in substances for pharmaceutical use) A, B, C, D, F, G, H, I.

A. 13-ethyl-6β,17-dihydroxy-11-methylidene-18,19-dinor-17α-pregn-4-en-20-yn-3-one,

B. 13-ethyl-17-hydroxy-11-methylidene-18,19-dinor-17α-pregn-4-en-20-yne-3,6-dione,

C. 17-hydroxy-11-methylidene-19-nor-17α-pregn-4-en-20-yn-3-one,

D. 13-ethyl-11-methylidene-18-norestr-4-ene-3,17-dione,

E. 13-ethyl-17-hydroxy-11-methylidene-18,19-dinor-17α-pregn-5-en-20-yn-3-one,

F. 13-ethyl-6α,17-dihydroxy-11-methylidene-18,19-dinor-17α-pregn-4-en-20-yn-3-one,

G. 13-ethyl-17-hydroxy-18,19-dinor-17α-pregn-4-en-20-yn-3-one,

H. 13-ethyl-17-hydroxy-11-methylidene-18,19-dinor-17α-pregna-4,6-dien-20-yn-3-one,

I. 13-ethyl-11,17-dimethylidene-18-norestr-4-en-3-one.






