(Ph. Eur. monograph 0553)
C10H26Cl2N2O2 277.2 1070-11-7
Action and use
Antituberculosis drug.
Preparations
Ethambutol Oral Solution
Ethambutol Tablets
DEFINITION
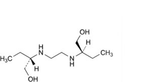
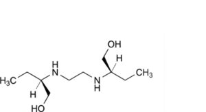
(2S,2′S)-2,2′-(Ethylenediimino)dibutan-1-ol dihydrochloride.
Content
99.0 per cent to 101.0 per cent (dried substance).
CHARACTERS
Appearance
White or almost white, crystalline powder, hygroscopic.
Solubility
Freely soluble in water, soluble in ethanol (96 per cent).
IDENTIFICATION
First identification: A, D, E.
Second identification: B, C, D.
A. Infrared absorption spectrophotometry (2.2.24).
Comparison: ethambutol hydrochloride CRS.
B. Examine the chromatograms obtained in the test for impurity A.
Results: The principal spot in the chromatogram obtained with test solution (b) is similar in position, colour and size to the principal spot in the chromatogram obtained with reference solution (b).
C. Dissolve 0.1 g in 10 mL of water R. Add 0.2 mL of copper sulfate solution R and 0.5 mL of dilute sodium hydroxide solution R; a blue colour is produced.
D. It gives reaction (a) of chlorides (2.3.1).
E. Related substances (see Tests).
TESTS
pH (2.2.3)
3.7 to 4.0.
Dissolve 0.2 g in 10 mL of carbon dioxide-free water R.
Impurity A
Thin-layer chromatography (2.2.27).
Test solution (a): Dissolve 0.50 g of the substance to be examined in methanol R and dilute to 10 mL with the same solvent.
Test solution (b): Dilute 1 mL of test solution (a) to 10 mL with methanol R.
Reference solution (a): Dissolve 50.0 mg of aminobutanol R (impurity A) in methanol R and dilute to 10.0 mL with the same solvent. Dilute 1.0 mL of this solution to 10.0 mL with methanol R.
Reference solution (b): Dissolve 50 mg of ethambutol hydrochloride CRS and 5 mg of aminobutanol R in methanol R and dilute to 10 mL with the same solvent.
Plate: TLC silica gel plate R.
Mobile phase: concentrated ammonia R, water R, methanol R (10:15:75 V/V/V).
Application: 2 μL.
Development: Over 2/3 of the plate.
Drying: In air; heat at 110 °C for 10 min.
Detection: Cool then spray with ninhydrin solution R1; heat at 110 °C for 5 min.
System suitability reference solution (b):
— the chromatogram shows 2 clearly separated spots.
Limit:
— impurity A: any spot due to impurity A in the chromatogram obtained with test solution (a) is not more intense than the spot in the chromatogram obtained with reference solution (a) (1.0 per cent).
Related substances
Liquid chromatography (2.2.29). Prepare the solutions immediately before use.
Test solution: Suspend 4.0 mg of the substance to be examined in 4.0 mL of acetonitrile R1 and add 100 μL of triethylamine R. Sonicate the mixture for 5 min. Add 15 μL of (R)-(+)-α-methylbenzyl isocyanate R and heat at 70 °C for 20 min.
Reference solution (a): Dilute 0.50 mL of the test solution to 100.0 mL with acetonitrile R1.
Reference solution (b): Treat 4.0 mg of ethambutol for system suitability CRS (containing impurity B) as described for the test solution.
Column:— size: l = 0.10 m, Ø = 4.6 mm;
— stationary phase: end-capped octadecylsilyl silica gel for chromatography R (3 μm);
— temperature: 40 °C.
Mobile phase:
— mobile phase A: methanol R, water R (50:50 V/V);
— mobile phase B: methanol R;
| Time
(min) |
Mobile phase A
(per cent V/V) |
Mobile phase B
(per cent V/V) |
| 0 – 30 | 71 | 29 |
| 30 – 35 | 71 → 0 | 29 → 100 |
| 35 – 37 | 0 | 100 |
| 37 – 38 | 0 → 71 | 100 → 29 |
Flow rate: 1.0 mL/min.
Detection: Spectrophotometer at 215 nm.
Injection: 10 μL.
Relative retention: With reference to ethambutol (retention time = about 14 min): impurity B = about 1.3.
System suitability: Reference solution (b):
— resolution: minimum 4.0 between the peaks due to ethambutol and impurity B.
Limits:
— impurity B: not more than twice the area of the principal peak in the chromatogram obtained with reference solution (a) (1.0 per cent);
— unspecified impurities with a relative retention of 0.75 to 1.5 with reference to ethambutol: for each impurity, not more than 0.2 times the area of the peak due to ethambutol in the chromatogram obtained with reference solution (a) (0.10 per cent);
— total (impurity B and unspecified impurities with a relative retention of 0.75 to 1.5 with reference to ethambutol): not more than twice the area of the principal peak in the chromatogram obtained with reference solution (a) (1.0 per cent);
— disregard limit: 0.1 times the area of the peak due to ethambutol in the chromatogram obtained with reference solution (a) (0.05 per cent).
Impurity D (1,2-dichloroethane) (2.4.24)
Maximum 5 ppm.
Loss on drying (2.2.32)
Maximum 0.5 per cent, determined on 0.500 g by drying in an oven at 105 °C for 3 h.
Sulfated ash (2.4.14)
Maximum 0.1 per cent, determined on 1.0 g.
ASSAY
Dissolve 0.200 g in 50 mL of water R and add 1.0 mL of 0.1 M hydrochloric acid. Carry out a potentiometric titration (2.2.20), using 0.1 M sodium hydroxide. Read the volume added between the 2 points of inflexion.1 mL of 0.1 M sodium hydroxide is equivalent to 27.72 mg of C10H26Cl2N2O2.
STORAGE
In an airtight container.
IMPURITIES
Specified impurities A, B, D.
Other detectable impurities (the following substances would, if present at a sufficient level, be detected by one or other of the tests in the monograph. They are limited by the general acceptance criterion for other/unspecified impurities and/or by the general monograph Substances for pharmaceutical use (2034). It is therefore not necessary to identify these impurities for demonstration of compliance. See also 5.10. Control of impurities in substances for pharmaceutical use) C.

A. 2-aminobutan-1-ol,

B. (2R,2′S)-2,2′-(ethylenediimino)dibutan-1-ol (meso-ethambutol),

C. (2R,2′R)-2,2′-(ethylenediimino)dibutan-1-ol ((R,R)-ethambutol),

D. 1,2-dichloroethane (ethylene chloride).






