(Ph. Eur. monograph 0486)
C10H14N4O4 254.2 479-18-5
Action and use
Non-selective phosphodiesterase inhibitor (xanthine); treatment of reversible airways obstruction.
DEFINITION
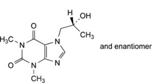
7-[(2RS)-2,3-Dihydroxypropyl]-1,3-dimethyl-3,7-dihydro-1H-purine-2,6-dione.
Content
98.5 per cent to 101.0 per cent (dried substance).
CHARACTERS
Appearance
White or almost white, crystalline powder.
Solubility
Freely soluble in water, slightly soluble in ethanol (96 per cent).
IDENTIFICATION
Infrared absorption spectrophotometry (2.2.24).
Comparison: diprophylline CRS.
TESTS
Solution S
Dissolve 2.5 g in carbon dioxide-free water R and dilute to 50 mL with the same solvent.
Appearance of solution
Solution S is clear (2.2.1) and colourless (2.2.2, Method II).
Acidity or alkalinity
To 10 mL of solution S add 0.25 mL of bromothymol blue solution R1. The solution is yellow or green. Not more than 0.4 mL of 0.01 M sodium hydroxide is required to change the colour of the indicator to blue.
Related substances
Liquid chromatography (2.2.29).
Test solution: Dissolve 50 mg of the substance to be examined in water R and dilute to 50.0 mL with the same solvent.
Reference solution (a): Dilute 1.0 mL of the test solution to 100.0 mL with water R. Dilute 1.0 mL of this solution to 10.0 mL with water R.
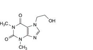
Reference solution (b): Dissolve 5 mg of etofylline CRS (impurity C) in water R and dilute to 50 mL with the same solvent.
Dilute 0.5 mL of the solution to 20 mL with the test solution.
Column:
— size: l = 0.15 m, Ø = 4.6 mm;
— stationary phase: end-capped octadecylsilyl silica gel for chromatography with embedded polar groups R (3 μm);
— temperature: 30 °C.
Mobile phase: methanol R, water for chromatography R (10:90 V/V).
Flow rate: 0.7 mL/min.
Detection: Spectrophotometer at 272 nm.
Injection: 10 μL.
Run time: 3 times the retention time of diprophylline.
Relative retention: With reference to diprophylline (retention time = about 18 min): impurity C = about 1.1.
System suitability: Reference solution (b):
— peak-to-valley ratio: minimum 5, where Hp = height above the baseline of the peak due to impurity C and Hv = height above the baseline of the lowest point of the curve separating this peak from the peak due to diprophylline.
Limits:
— unspecified impurities: for each impurity, not more than the area of the principal peak in the chromatogram obtained with reference solution (a) (0.10 per cent);
— total: not more than 3 times the area of the principal peak in the chromatogram obtained with reference solution (a) (0.3 per cent);
— disregard limit: 0.5 times the area of the principal peak in the chromatogram obtained with reference solution (a) (0.05 per cent).
Chlorides (2.4.4)
Maximum 400 ppm.
Dilute 2.5 mL of solution S to 15 mL with water R.
Loss on drying (2.2.32)
Maximum 0.5 per cent, determined on 1.000 g by drying in an oven at 105 °C.
Sulfated ash (2.4.14)
Maximum 0.1 per cent, determined on 1.0 g.
ASSAY
In order to avoid overheating in the reaction medium, mix thoroughly throughout and stop the titration immediately after the end-point has been reached.
Dissolve 0.200 g in 3.0 mL of anhydrous formic acid R and add 50.0 mL of acetic anhydride R. Titrate with 0.1 M perchloric acid, determining the end-point potentiometrically (2.2.20).
1 mL of 0.1 M perchloric acid is equivalent to 25.42 mg of C10H14N4O4.
STORAGE
Protected from light.
IMPURITIES
Other detectable impurities (the following substances would, if present at a sufficient level, be detected by one or other of the tests in the monograph. They are limited by the general acceptance criterion for other/unspecified impurities and/or by the general monograph Substances for pharmaceutical use (2034). It is therefore not necessary to identify these impurities for demonstration of compliance. See also 5.10. Control of impurities in substances for pharmaceutical use) A, B, C, D.

A. N-methyl-5-(methylamino)-1H-imidazole-4-carboxamide (theophyllidine),

B. 1,3-dimethyl-3,7-dihydro-1H-purine-2,6-dione (theophylline),

C. 7-(2-hydroxyethyl)-1,3-dimethyl-3,7-dihydro-1H-purine-2,6-dione (etofylline),

D. 7-[(2RS)-2-hydroxypropyl]-1,3-dimethyl-3,7-dihydro-1H-purine-2,6-dione (proxyphylline).






