(Ph. Eur. monograph 0386)
C20H23ClN2O4 390.9 113-92-8
Action and use
Histamine H1 receptor antagonist; antihistamine.
Preparations
Chlorphenamine Injection
Chlorphenamine Oral Solution
Chlorphenamine Tablets
DEFINITION
(3RS)-3-(4-Chlorophenyl)-N,N-dimethyl-3-(pyridin-2-yl)propan-1-amine hydrogen (Z)-butenedioate.
Content
98.0 per cent to 101.0 per cent (dried substance).
CHARACTERS
Appearance
White or almost white, crystalline powder.
Solubility
Freely soluble in water, soluble in ethanol (96 per cent).
IDENTIFICATION
A. Melting point (2.2.14): 130 °C to 135 °C.
B. Infrared absorption spectrophotometry (2.2.24).
Comparison chlorphenamine maleate CRS.
C. Optical rotation (see Tests).
TESTS
Solution S
Dissolve 2.0 g in water R and dilute to 20.0 mL with the same solvent.
Appearance of solution
Solution S is clear (2.2.1) and not more intensely coloured than reference solution BY6 (2.2.2, Method II).
Optical rotation (2.2.7)
-0.10° to + 0.10°, determined on solution S.
Related substances
Liquid chromatography (2.2.29).
Test solution: Dissolve 0.100 g of the substance to be examined in the mobile phase and dilute to 100.0 mL with the mobile phase.Reference solution (a) Dilute 0.5 mL of the test solution to 100.0 mL with the mobile phase.
Reference solution (b): Dilute 1.0 mL of reference solution (a) to 10.0 mL with the mobile phase.
Reference solution (c): Dissolve 5 mg of chlorphenamine impurity C CRS in 5 mL of the test solution and dilute to 50.0 mL with the mobile phase. Dilute 2 mL of this solution to 20 mL with the mobile phase.
Reference solution (d): Dissolve 5 mg of 2,2′-dipyridylamine R (impurity B) in the mobile phase and dilute to 100 mL with the mobile phase.
Reference solution (e): Dissolve the contents of a vial of chlorphenamine impurity A CRS in 2 mL of the test solution.
Sonicate for 5 min.
Column:
— size: l = 0.30 m, Ø = 3.9 mm;
— stationary phase: octadecylsilyl silica gel for chromatography R (10 μm).
Mobile phase: Mix 20 volumes of acetonitrile R and 80 volumes of a 8.57 g/L solution of ammonium dihydrogen phosphate R previously adjusted to pH 3.0 with phosphoric acid R.
Flow rate: 1.2 mL/min.
Detection: Spectrophotometer at 225 nm.
Injection: 20 μL.
Run time: 3.5 times the retention time of chlorphenamine.
Relative retention: With reference to chlorphenamine (retention time = about 11 min): maleic acid = about 0.2; impurity A = about 0.3; impurity B = about 0.4; impurity C = about 0.9; impurity D = about 3.0.
System suitability: Reference solution (c):
— resolution: minimum 1.5 between the peaks due to impurity C and chlorphenamine.
Limits:
— correction factors: for the calculation of contents, multiply the peak areas of the following impurities by the corresponding correction factor: impurity A = 1.5; impurity B = 1.4;
— impurity A: not more than 0.4 times the area of the principal peak in the chromatogram obtained with reference solution (a) (0.2 per cent);
— impurities B, C, D: for each impurity, not more than 0.2 times the area of the principal peak in the chromatogram obtained with reference solution (a) (0.1 per cent);
— unspecified impurities: for each impurity, not more than 0.2 times the area of the principal peak in the chromatogram obtained with reference solution (a) (0.10 per cent);
— total: not more than the area of the principal peak in the chromatogram obtained with reference solution (a) (0.5 per cent);
— disregard limit: the area of the principal peak in the chromatogram obtained with reference solution (b) (0.05 per cent); disregard the peak due to maleic acid.
Loss on drying (2.2.32)
Maximum 0.5 per cent, determined on 1.000 g by drying in an oven at 105 °C for 4 h.
Sulfated ash (2.4.14)
Maximum 0.1 per cent, determined on 1.0 g.
ASSAY
Dissolve 0.150 g in 25 mL of anhydrous acetic acid R. Titrate with 0.1 M perchloric acid, determining the end-point potentiometrically (2.2.20).
1 mL of 0.1 M perchloric acid is equivalent to 19.54 mg of C20H23ClN2O4.
STORAGE
Protected from light.
IMPURITIES
Specified impurities A, B, C, D.

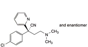
A. 2-(4-chlorophenyl)-4-(dimethylamino)-2-[2-(dimethylamino)ethyl]butanenitrile,

B. N-(pyridin-2-yl)pyridin-2-amine (2,2′-dipyridylamine),

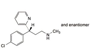
C. (3RS)-3-(4-chlorophenyl)-N-methyl-3-(pyridin-2-yl)propan-1-amine,

D. (2RS)-2-(4-chlorophenyl)-4-(dimethylamino)-2-(pyridin-2-yl)butanenitrile.






