(Ph. Eur. monograph 2573)
C33H34N6O6 611 145040-37-5
Action and use
Angiotensin II (AT1) receptor antagonist.
Preparation
Candesartan Tablets
DEFINITION
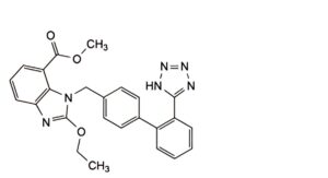
(1RS)-1-[[(Cyclohexyloxy)carbonyl]oxy]ethyl 2-ethoxy-1-[[2′-(1H-tetrazol-5-yl)biphenyl-4-yl]methyl]-1H-benzimidazole-7-carboxylate.
Content
99.0 per cent to 101.0 per cent (anhydrous substance).
CHARACTERS
Appearance
White or almost white powder.
Solubility
Practically insoluble in water, freely soluble in methylene chloride and slightly soluble in anhydrous ethanol.
It shows polymorphism (5.9).
IDENTIFICATION
Infrared absorption spectrophotometry (2.2.24).
Comparison candesartan cilexetil CRS.
If the spectra obtained show differences, dissolve the substance to be examined and the reference substance separately in anhydrous ethanol R, evaporate to dryness and record new spectra using the residues.
TESTS
Related substances
Liquid chromatography (2.2.29). Prepare the solutions immediately before use.
Solvent mixture: water R, acetonitrile R (40:60 V/V).
Test solution: Dissolve 20 mg of the substance to be examined in 50.0 mL of the solvent mixture.
Reference solution (a): Dilute 1.0 mL of the test solution to 100.0 mL with the solvent mixture. Dilute 1.0 mL of this solution to 10.0 mL with the solvent mixture.
Reference solution (b): Dissolve 5 mg of candesartan cilexetil for system suitability CRS (containing impurities A, B and F) in the solvent mixture and dilute to 10 mL with the solvent mixture.
Reference solution (c): Dissolve 2.5 mg of candesartan cilexetil for peak identification CRS (containing impurities G and H) in the solvent mixture and dilute to 5 mL with the solvent mixture.
Column:
— size: l = 0.15 m, Ø = 3.9 mm;
— stationary phase: end-capped octadecylsilyl silica gel for chromatography R (4 μm).
Mobile phase:
— mobile phase A: glacial acetic acid R, water for chromatography R, acetonitrile R (1:43:57 V/V/V);
— mobile phase B: glacial acetic acid R, water for chromatography R, acetonitrile R (1:10:90 V/V/V);
| Time (min) |
Mobile phase A (per cent V/V) |
Mobile phase B (per cent V/V) |
| 0 – 3 | 100 | 0 |
| 3 – 33 | 100 → 0 | 0 → 100 |
| 33 – 40 | 0 | 100 |
Flow rate: 0.8 mL/min.
Detection: Spectrophotometer at 254 nm.
Injection: 10 μL.
Identification of impurities: Use the chromatogram supplied with candesartan cilexetil for system suitability CRS and the chromatogram obtained with reference solution (b) to identify the peaks due to impurities A, B and F; use the chromatogram supplied with candesartan cilexetil for peak identification CRS and the chromatogram obtained with reference solution (c) to identify the peaks due to impurities G and H.
Relative retention: With reference to candesartan cilexetil (retention time = about 11 min): impurity G = about 0.2; impurity A = about 0.4; impurity B = about 0.5; impurity F = about 2.0; impurity H = about 3.5.
System suitability Reference solution (b):
— resolution: minimum 4.0 between the peaks due to impurities A and B.
Limits:
— correction factors: multiply the peak area of the impurity by its correction factor: impurities A and G = 0.7; impurity H = 1.6;
— impurity B: not more than 3 times the area of the principal peak in the chromatogram obtained with reference solution (a) (0.3 per cent);
— impurities F, G: for each impurity, not more than twice the area of the principal peak in the chromatogram obtained with reference solution (a) (0.2 per cent);
— impurities A, H: for each impurity, not more than 1.5 times the area of the principal peak in the chromatogram obtained with reference solution (a) (0.15 per cent);
— unspecified impurities: for each impurity, not more than the area of the principal peak in the chromatogram obtained with reference solution (a) (0.10 per cent);
— total: not more than 6 times the area of the principal peak in the chromatogram obtained with reference solution (a) (0.6 per cent);
— disregard limit: 0.5 times the area of the principal peak in the chromatogram obtained with reference solution (a) (0.05 per cent).
Water (2.5.32)
Maximum 0.3 per cent, determined on 60.0 mg.
Sulfated ash (2.4.14)
Maximum 0.1 per cent, determined on 1.0 g.
ASSAY
Dissolve 0.500 g in 60 mL of glacial acetic acid R. Titrate immediately with 0.1 M perchloric acid, determining the end-point potentiometrically (2.2.20) at the 1 inflexion point.
1 mL of 0.1 M perchloric acid is equivalent to 61.1 mg of C33H34N6O6.
IMPURITIES
Specified impurities A, B, F, G, H.
Other detectable impurities (the following substances would, if present at a sufficient level, be detected by one or other of the tests in the monograph. They are limited by the general acceptance criterion for other/unspecified impurities and/or by the general monograph Substances for pharmaceutical use (2034). It is therefore not necessary to identify these impurities for demonstration of compliance. See also 5.10. Control of impurities in substances for pharmaceutical use) C, D, E, I.

A. ethyl 2-ethoxy-1-[[2′-(1H-tetrazol-5-yl)biphenyl-4-yl]methyl]-1H-benzimidazole-7-carboxylate,

B. (1RS)-1-[[(cyclohexyloxy)carbonyl]oxy]ethyl 2-oxo-3-[[2′-(1H-tetrazol-5-yl)biphenyl-4-yl]methyl]-2,3-dihydro-1H-benzimidazole-4-carboxylate,

C. (1RS)-1-[[(cyclohexyloxy)carbonyl]oxy]ethyl 3-[[2′-(1-ethyl-1H-tetrazol-5-yl)biphenyl-4-yl]methyl]-2-oxo-2,3-dihydro-1H-benzimidazole-4-carboxylate,

D. (1RS)-1-[[(cyclohexyloxy)carbonyl]oxy]ethyl 3-[[2′-(2-ethyl-2H-tetrazol-5-yl)biphenyl-4-yl]methyl]-2-oxo-2,3-dihydro-1H-benzimidazole-4-carboxylate,

E. (1RS)-1-[[(cyclohexyloxy)carbonyl]oxy]ethyl 2-ethoxy-1-[[2′-(1-ethyl-1H-tetrazol-5-yl)biphenyl-4-yl]methyl]-1H-benzimidazole-7-carboxylate,

F. (1RS)-1-[[(cyclohexyloxy)carbonyl]oxy]ethyl 2-ethoxy-1-[[2′-(2-ethyl-2H-tetrazol-5-yl)biphenyl-4-yl]methyl]-1H-benzimidazole-7-carboxylate,

G. 2-ethoxy-1-[[2′-(1H-tetrazol-5-yl)biphenyl-4-yl]methyl]-1H-benzimidazole-7-carboxylic acid (candesartan),

H. (1RS)-1-[[(cyclohexyloxy)carbonyl]oxy]ethyl 2-ethoxy-1-[[2′-[1-(triphenylmethyl)-1H-tetrazol-5-yl]biphenyl-4-
yl]methyl]-1H-benzimidazole-7-carboxylate (N-tritylcandesartan),

I. methyl 2-ethoxy-1-[[2′-(1H-tetrazol-5-yl)biphenyl-4-yl]methyl]-1H-benzimidazole-7-carboxylate.






