(Ph. Eur. monograph 1397)
C31H41BrFNO3 574.6 75067-66-2
Action and use
Dopamine receptor antagonist; neuroleptic.
DEFINITION
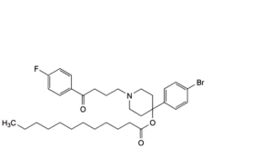
4-(4-Bromophenyl)-1-[4-(4-fluorophenyl)-4-oxobutyl]piperidin-4-yl decanoate.
Content
98.5 per cent to 101.0 per cent (dried substance).
CHARACTERS
Appearance
White or almost white powder.
Solubility
Practically insoluble in water, very soluble in methylene chloride, soluble in ethanol (96 per cent).
mp
About 60 °C.
IDENTIFICATION
A. Infrared absorption spectrophotometry (2.2.24).
Comparison bromperidol decanoate CRS.
B. To 0.1 g in a porcelain crucible add 0.5 g of anhydrous sodium carbonate R. Heat over an open flame for 10 min.
Allow to cool. Take up the residue with 5 mL of dilute nitric acid R and filter. To 1 mL of the filtrate add 1 mL of water R.
The solution gives reaction (a) of bromides (2.3.1).
TESTS
Appearance of solution
The solution is clear (2.2.1) and not more intensely coloured than reference solution B5 (2.2.2, Method II).
Dissolve 2.0 g in methylene chloride R and dilute to 20 mL with the same solvent.
Related substances
Liquid chromatography (2.2.29). Prepare the solutions immediately before use and protect from light.
Test solution: Dissolve 0.100 g of the substance to be examined in methanol R and dilute to 10.0 mL with the same solvent.
Reference solution (a): Dissolve 2.5 mg of bromperidol decanoate CRS and 2.5 mg of haloperidol decanoate CRS in methanol R and dilute to 50.0 mL with the same solvent.
Reference solution (b): Dilute 5.0 mL of the test solution to 100.0 mL with methanol R. Dilute 1.0 mL of this solution to 10.0 mL with methanol R.
Column:
— size: l = 0.1 m, Ø = 4.0 mm;
— stationary phase: base-deactivated octadecylsilyl silica gel for chromatography R (3 μm).
Mobile phase:
— mobile phase A: 27 g/L solution of tetrabutylammonium hydrogen sulfate R;
— mobile phase B: acetonitrile R;
| Time
(min) |
Mobile phase A
(per cent V/V) |
Mobile phase B
(per cent V/V) |
| 0 – 30 | 80 → 40 | 20 → 60 |
| 30 – 35 | 40 | 60 |
| 35 – 40 | 40 → 80 | 60 → 20 |
Flow rate: 1.5 mL/min.
Detection: Spectrophotometer at 230 nm.
Injection: 10 μL.
Relative retention: With reference to bromperidol decanoate (retention time = about 24 min): impurity G = about 0.10; impurity L = about 0.15; impurity H = about 0.8; impurity A = about 0.89; impurity I = about 0.91; impurity B = about 0.96; haloperidol decanoate = about 0.98; impurity F = about 1.10; impurity C = about 1.15; impurity K = about 1.2; impurity E = about 1.23; impurity D = about 1.25.
System suitability Reference solution (a):
— resolution: minimum 1.5 between the peaks due to haloperidol decanoate and bromperidol decanoate.
Limits:
— impurities A, B, C, D, E, F, G, H, I, J, K: for each impurity, not more than the area of the principal peak in the chromatogram obtained with reference solution (b) (0.5 per cent);
— unspecified impurities: for each impurity, not more than 0.2 times the area of the principal peak in the chromatogram obtained with reference solution (b) (0.10 per cent);
— total: not more than 3 times the area of the principal peak in the chromatogram obtained with reference solution (b) (1.5 per cent);
— disregard limit: 0.1 times the area of the principal peak in the chromatogram obtained with reference solution (b) (0.05 per cent).
Loss on drying (2.2.32)
Maximum 0.5 per cent, determined on 1.000 g by drying in vacuo at 30 °C.
Sulfated ash (2.4.14)
Maximum 0.1 per cent, determined on 1.0 g in a platinum crucible.
ASSAY
Dissolve 0.450 g in 50 mL of a mixture of 1 volume of anhydrous acetic acid R and 7 volumes of methyl ethyl ketone R.
Titrate with 0.1 M perchloric acid, using 0.2 mL of naphtholbenzein solution R as indicator.
1 mL of 0.1 M perchloric acid is equivalent to 57.46 mg of C31H41BrFNO3.
STORAGE
Protected from light, at a temperature below 25 °C.
IMPURITIES
Specified impurities A, B, C, D, E, F, G, H, I, J, K.
Other detectable impurities (the following substances would, if present at a sufficient level, be detected by one or other of the tests in the monograph. They are limited by the general acceptance criterion for other/unspecified impurities and/or by the general monograph.
Substances for pharmaceutical use (2034). It is therefore not necessary to identify these impurities for demonstration of compliance. See also 5.10. Control of impurities in substances for pharmaceutical use) L.

A. 1-[4-(4-fluorophenyl)-4-oxobutyl]-4-phenylpiperidin-4-yl decanoate,

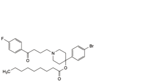
B. 4-(4-bromophenyl)-1-[4-(2-fluorophenyl)-4-oxobutyl]-piperidin-4-yl decanoate,

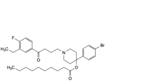
C. 4-(4-bromophenyl)-1-[4-(3-ethyl-4-fluorophenyl)-4-oxobutyl]-piperidin-4-yl decanoate,

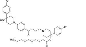
D. 4-(4-bromophenyl)-1-[4-[4-[4-(4-bromophenyl)-4-hydroxypiperidin-1-yl]phenyl]-4 oxobutyl]piperidin-4-yl decanoate,

E. 4-(4′-bromobiphenyl-4-yl)-1-[4-(4-fluorophenyl)-4-oxobutyl]piperidin-4-yl decanoate,

F. 4-(biphenyl-4-yl)-1-[4-(4-fluorophenyl)-4-oxobutyl]piperidin-4-yl decanoate,

G. 4-[4-(4-bromophenyl)-4-hydroxypiperidin-1-yl]-1-(4-fluorophenyl)butan-1-one (bromperidol),

H. 4-(4-bromophenyl)-1-[4-(4-fluorophenyl)-4-oxobutyl]piperidin-4-yl octanoate,

I. 4-(4-bromophenyl)-1-[4-(4-fluorophenyl)-4-oxobutyl]piperidin-4-yl nonanoate,

J. 4-(4-bromophenyl)-1-[4-(4-fluorophenyl)-4-oxobutyl]piperidin-4-yl undecanoate,

K. 4-(4-bromophenyl)-1-[4-(4-fluorophenyl)-4-oxobutyl]piperidin-4-yl dodecanoate,

L. 1-(4-fluorophenyl)ethanone.






