(Ph. Eur. monograph 0312)
C22H29FO5 392.5 378-44-9
Action and use
Glucocorticoid.
Preparation
Betamethasone Tablets
DEFINITION
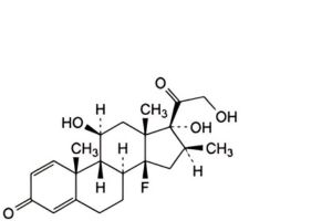
9-Fluoro-11β,17,21-trihydroxy-16β-methylpregna-1,4-diene-3,20-dione.
Content
97.0 per cent to 103.0 per cent (dried substance).
CHARACTERS
Appearance
White or almost white, crystalline powder.
Solubility
Practically insoluble in water, sparingly soluble in anhydrous ethanol, very slightly soluble in methylene chloride.
It shows polymorphism (5.9).
IDENTIFICATION
First identification: A, B.
Second identification: B, C.
A. Infrared absorption spectrophotometry (2.2.24).
Comparison: betamethasone CRS.
If the spectra obtained in the solid state show differences, dissolve the substance to be examined and the reference substance separately in the minimum volume of methylene chloride R, evaporate to dryness on a water-bath and record new spectra using the residues.
B. Thin-layer chromatography (2.2.27).
Test solution: Dissolve 10 mg of the substance to be examined in the mobile phase and dilute to 10.0 mL with the mobile phase.
Reference solution: Dissolve 10 mg of betamethasone CRS in the mobile phase and dilute to 10.0 mL with the mobile phase.
Plate: TLC silica gel F254 plate R.
Mobile phase: methanol R, methylene chloride R (10:90 V/V).
Application: 5 μL.
Development: Over 3/4 of the plate.
Drying: In air.
Detection: Spray with a solution prepared as follows: dissolve 0.25 g of 2,4-dihydroxybenzaldehyde R in glacial acetic acid R, dilute to 50 mL with the same solvent and add a mixture of 12.5 mL of sulfuric acid R and 37.5 mL of glacial acetic acid R; heat at 90 °C for 35 min or until the spots appear, allow to cool and examine in daylight and in ultraviolet light at 365 nm.
Results: The principal spot in the chromatogram obtained with the test solution is similar in position, colour and size to the principal spot in the chromatogram obtained with the reference solution.
C. Add about 2 mg to 2 mL of sulfuric acid R and shake to dissolve. Within 5 min, a deep reddish-brown colour develops.
Add this solution to 10 mL of water R and mix. The colour is discharged and a clear solution remains.
TESTS
Specific optical rotation (2.2.7)
+ 118 to + 126 (dried substance).
Dissolve 0.125 g in methanol R and dilute to 25.0 mL with the same solvent.
Related substances
Liquid chromatography (2.2.29).
Test solution: Dissolve 25.0 mg of the substance to be examined in a mixture of equal volumes of acetonitrile R and methanol R and dilute to 10.0 mL with the same mixture of solvents.
Reference solution (a): Dissolve 2 mg of betamethasone CRS and 2 mg of methylprednisolone CRS in mobile phase A and dilute to 100 mL with mobile phase A.
Reference solution (b): Dilute 1.0 mL of the test solution to 100.0 mL with mobile phase A.
Column:
— size: l = 0.25 m, Ø = 4.6 mm;
— stationary phase: end-capped octadecylsilyl silica gel for chromatography R (5 μm);
— temperature: 45 °C.
Mobile phase:
— mobile phase A: mix 250 mL of acetonitrile R and 700 mL of water for chromatography R and allow to equilibrate; dilute to 1000 mL with water for chromatography R and mix;
— mobile phase B: acetonitrile R;
| Time (min) |
Mobile phase A (per cent V/V) |
Mobile phase B (per cent V/V) |
| 0 – 15 | 100 | 0 |
| 15 – 40 | 100 → 0 | 0 → 100 |
| 40 – 41 | 0 → 100 | 100 → 0 |
| 41 – 46 | 100 | 0 |
Flow rate: 2.5 mL/min.
Detection: Spectrophotometer at 254 nm.
Equilibration: With mobile phase B for at least 30 min and then with mobile phase A for 5 min; for subsequent chromatograms, use the conditions described from 40 min to 46 min.
Injection 20 μL; inject a mixture of equal volumes of acetonitrile R and methanol R as a blank.
Retention time: Methylprednisolone = about 11.5 min; betamethasone = about 12.5 min.
System suitability: Reference solution (a):
— resolution: minimum 1.5 between the peaks due to methylprednisolone and betamethasone; if necessary, adjust the concentration of acetonitrile in mobile phase A.
Limits:
— impurities A, B, C, D, E, F, G, H, I, J: for each impurity, not more than the area of the principal peak in the chromatogram obtained with reference solution (b) (1.0 per cent), and not more than 1 such peak has an area greater than 0.5 times the area of the principal peak in the chromatogram obtained with reference solution (b) (0.5 per cent);
— total: not more than twice the area of the principal peak in the chromatogram obtained with reference solution (b) (2.0 per cent);
— disregard limit: 0.05 times the area of the principal peak in the chromatogram obtained with reference solution (b) (0.05 per cent).
Loss on drying (2.2.32)
Maximum 0.5 per cent, determined on 0.500 g by drying in an oven at 105 °C.
ASSAY
Dissolve 0.100 g in ethanol (96 per cent) R and dilute to 100.0 mL with the same solvent.
Dilute 2.0 mL of the solution to 100.0 mL with ethanol (96 per cent) R. Measure the absorbance (2.2.25) at the absorption maximum at 238.5 nm.
Calculate the content of C22H29FO5 taking the specific absorbance to be 395.
STORAGE
Protected from light.
IMPURITIES
Specified impurities A, B, C, D, E, F, G, H, I, J.

A. 9-fluoro-11β,17,21-trihydroxy-16α-methylpregna-1,4-diene-3,20-dione (dexamethasone),

B. 21-chloro-9-fluoro-11β,17-dihydroxy-16β-methylpregna-1,4-diene-3,20-dione,

C. 17,21-dihydroxy-16β-methylpregna-1,4,9(11)-triene-3,20-dione,

D. 9-fluoro-11β,17-dihydroxy-16β-methyl-3,20-dioxopregna-1,4-dien-21-yl ethoxycarboxylate,

E. 9,11β-epoxy-17,21-dihydroxy-16β-methyl-9β-pregna-1,4-diene-3,20-dione,

F. 17,21-dihydroxy-16β-methylpregna-1,4,11-triene-3,20-dione,

G. 11α,17,21-trihydroxy-16β-methylpregna-1,4-diene-3,20-dione,

H. 14-fluoro-11β,17,21-trihydroxy-16β-methyl-8α,9β,14β-pregna-1,4-diene-3,20-dione,

I. 8-fluoro-11β,17,21-trihydroxy-16β-methyl-8α,9β-pregna-1,4-diene-3,20-dione,

J. 17,21-dihydroxy-16β-methylpregna-1,4-diene-3,20-dione.






