(Ph. Eur. monograph 0368)
C18H28N2O4S 368.5 60-13-9
Action and use
Releases dopamine; central nervous system stimulant.
DEFINITION
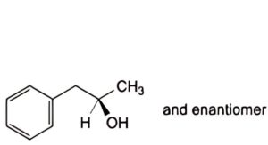
Bis[(2RS)-1-phenylpropan-2-amine] sulfate.
Content
99.0 per cent to 101.0 per cent (dried substance).
CHARACTERS
Appearance
White or almost white powder.
Solubility
Freely soluble in water, very slightly soluble in ethanol (96 per cent), practically insoluble in methylene chloride.
IDENTIFICATION
First identification: A, B, D.
Second identification: C, D.
A. Optical rotation (see Tests).
B. Infrared absorption spectrophotometry (2.2.24).
Comparison: amfetamine sulfate CRS.
C. To 50 mL of solution S add 5 mL of strong sodium hydroxide solution R and 0.5 mL of benzoyl chloride R and shake. Continue to add benzoyl chloride R in portions of 0.5 mL, shaking after each addition, until no further precipitate is formed. Filter, wash the precipitate with water R, recrystallise twice from a mixture of equal volumes of ethanol (96 per cent) R and water R, then dry at 100-105 °C. The crystals melt (2.2.14) at 131 °C to 135 °C.
D. Solution S (see Tests) gives reaction (a) of sulfates (2.3.1).
TESTS
Solution S
Dissolve 2.0 g in carbon dioxide-free water R and dilute to 100 mL with the same solvent.
Appearance of solution
Solution S is clear (2.2.1) and colourless (2.2.2, Method II).
Optical rotation (2.2.7)
-0.04° to + 0.04° (measured in a 2 dm tube), determined on solution S.
Acidity or alkalinity
To 25 mL of solution S add 0.1 mL of methyl red solution R. Not more than 0.1 mL of 0.01 M hydrochloric acid or 0.01 M sodium hydroxide is required to change the colour of the indicator.
Related substances
Liquid chromatography (2.2.29). Prepare the solutions immediately before use.
Solvent mixture: Mix 5 mL of trifluoroacetic acid R and 900 mL of water for chromatography R, adjust to pH 2.2 with concentrated ammonia R and dilute to 1000 mL with acetonitrile R.
Test solution Dissolve 20.0 mg of the substance to be examined in the solvent mixture and dilute to 10.0 mL with the solvent mixture.
Reference solution (a): Dilute 1.0 mL of the test solution to 100.0 mL with the solvent mixture. Dilute 1.0 mL of this solution to 10.0 mL with the solvent mixture.
Reference solution (b): Dissolve 5 mg of 1-phenylpropan-2-ol R (impurity A) and 5 mg of benzaldehyde R (impurity D) in the solvent mixture and dilute to 10 mL with the solvent mixture. Dilute 1 mL of the solution to 100 mL with the solvent mixture.
Column:
— size: l = 0.15 m, Ø = 4.6 mm;
— stationary phase: base-deactivated end-capped octadecylsilyl silica gel for chromatography R (5 μm);
— temperature: 40 °C.
Mobile phase:
— mobile phase A: solvent mixture;
— mobile phase B: acetonitrile R;
| Time (min) |
Mobile phase A (per cent V/V) |
Mobile phase B (per cent V/V) |
| 0 – 1 | 100 | 0 |
| 1 – 16 | 100 → 65 | 0 → 35 |
| 16 – 21 | 65 → 0 | 35 → 100 |
| 21 – 23 | 0 | 100 |
Flow rate: 1.5 mL/min.
Detection: Spectrophotometer at 257 nm.
Injection: 20 μL.
Identification of impurities: Use the chromatogram obtained with reference solution (b) to identify the peaks due to impurities A and D.
Relative retention: With reference to amfetamine (retention time = about 8 min): impurity D = about 1.6;
impurity A = about 1.7.
System suitability: Reference solution (b):
— resolution: minimum 4.0 between the peaks due to impurities D and A.
Calculation of percentage contents:
— for each impurity, use the concentration of amfetamine sulfate in reference solution (a).
Limits:
— unspecified impurities: for each impurity, maximum 0.10 per cent;
— total: maximum 0.5 per cent;
— reporting threshold: 0.05 per cent.
Loss on drying (2.2.32)
Maximum 1.0 per cent, determined on 1.000 g by drying in an oven at 105 °C.
Sulfated ash (2.4.14)
Maximum 0.1 per cent, determined on 1.0 g.
ASSAY
Dissolve 0.300 g in 30 mL of anhydrous acetic acid R. Titrate with 0.1 M perchloric acid, determining the end-point potentiometrically (2.2.20).
1 mL of 0.1 M perchloric acid is equivalent to 36.85 mg of C18H28N2O4S.
STORAGE
Protected from light.
IMPURITIES
Other detectable impurities (the following substances would, if present at a sufficient level, be detected by one or other of the tests in the monograph. They are limited by the general acceptance criterion for other/unspecified impurities and/or by the general monograph Substances for pharmaceutical use (2034). It is therefore not necessary to identify these impurities for demonstration of compliance. See also 5.10. Control of impurities in substances for pharmaceutical use) A, B, C, D.

A. (2RS)-1-phenylpropan-2-ol,

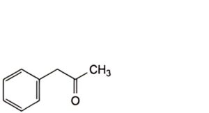
B. 1-phenylpropan-2-one,

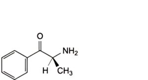
C. (2S)-2-amino-1-phenylpropan-1-one (cathinone),

D. benzaldehyde.






