Alfentanil Hydrochloride
(Ph. Eur. monograph 1062)
C21H33ClN6O3, xH2O 453.0 (anhydrous substance)
Anhydrous alfentanil hydrochloride 69049-06-5
Action and use
Opioid receptor agonist; analgesic.
DEFINITION
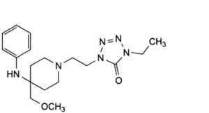
N-[1-[2-(4-Ethyl-5-oxo-4,5-dihydro-1H-tetrazol-1-yl)ethyl]-4-(methoxymethyl)piperidin-4-yl]-N-phenylpropanamide hydrochloride hydrate.
Content
98.5 per cent to 101.5 per cent (anhydrous substance).
It contains a variable quantity of water.
CHARACTERS
Appearance
White or almost white powder.
Solubility
Freely soluble in water, in ethanol (96 per cent) and in methanol.
mp
About 140 °C, with decomposition.
It shows polymorphism (5.9).
IDENTIFICATION
A. Infrared absorption spectrophotometry (2.2.24).
Comparison: alfentanil hydrochloride hydrate CRS.
If the spectra obtained in the solid state show differences, dissolve the substance to be examined and the reference substance separately in methanol R, evaporate to dryness and record new spectra using the residues.
B. Dissolve 50 mg in a mixture of 0.4 mL of ammonia R and 2 mL of water R. Mix, allow to stand for 5 min and filter. Acidify the filtrate with dilute nitric acid R. It gives reaction (a) of chlorides (2.3.1).
TESTS
Appearance of solution
The solution is clear (2.2.1) and colourless (2.2.2, Method II).
Dissolve 0.2 g in water R and dilute to 20 mL with the same solvent.
Related substances
Liquid chromatography (2.2.29). Carry out the test protected from light.
Test solution: Dissolve 0.100 g of the substance to be examined in methanol R and dilute to 10.0 mL with the same solvent.
Reference solution (a): In order to prepare impurity E in situ, dissolve 10 mg of the substance to be examined in 10.0 mL of dilute hydrochloric acid R. Heat on a water-bath under a reflux condenser for 4 h. Neutralise with 10.0 mL of dilute sodium hydroxide solution R and evaporate to dryness on a water-bath. Cool and take up the residue in 10 mL of methanol R. Filter.
Reference solution (b): Dissolve the contents of a vial of alfentanil impurity D CRS in 1 mL of methanol R.
Reference solution (c): Dilute 1.0 mL of the test solution to 100.0 mL with methanol R. Dilute 1.0 mL of this solution to 10.0 mL with methanol R.
Blank solution: methanol R.
Column:
— size: l = 0.1 m, Ø = 4.6 mm;
— stationary phase: end-capped octadecylsilyl silica gel for chromatography R (3 μm).
Mobile phase:
— mobile phase A: 5 g/L solution of ammonium carbonate R in a mixture of 10 volumes of tetrahydrofuran R and 90 volumes of water for chromatography R;
— mobile phase B: acetonitrile for chromatography R;
| Time (min) |
Mobile phase A (per cent V/V) |
Mobile phase B (per cent V/V) |
| 0 – 15 | 90 → 40 | 10 → 60 |
| 15 – 20 | 40 | 60 |
| 20 – 25 | 40 → 90 | 60 → 10 |
Flow rate: 1.5 mL/min.
Detection: Spectrophotometer at 220 nm.
Injection: 10 μL.
Identification of impurities: Use the chromatogram obtained with reference solution (a) to identify the peak due to impurity E; use the chromatogram obtained with reference solution (b) to identify the peak due to impurity D.
Relative retention: With reference to alfentanil (retention time = about 8 min): impurity D = about 0.8; impurity E = about 0.9.
System suitability: Reference solution (a):
— resolution: minimum 4.0 between the peaks due to impurity E and alfentanil.
Calculation of percentage contents:
— for each impurity, use the concentration of alfentanil hydrochloride hydrate in reference solution (c).
Limits:
— impurity D: maximum 0.2 per cent;
— unspecified impurities: for each impurity, maximum 0.10 per cent;
— total: maximum 0.4 per cent;
— reporting threshold: 0.05 per cent.
Water (2.5.12)
3.0 per cent to 4.0 per cent, determined on 0.500 g.
ASSAY
Dissolve 0.350 g in 50 mL of a mixture of 1 volume of ethanol (96 per cent) R and 4 volumes of water R and add 5.0 mL of 0.01 M hydrochloric acid. Titrate with 0.1 M sodium hydroxide, determining the end-point potentiometrically (2.2.20). Read the volume added between the 2 points of inflexion.
1 mL of 0.1 M sodium hydroxide is equivalent to 45.30 mg of C21H33ClN6O3.
STORAGE
Protected from light.
IMPURITIES
Specified impurities D.
Other detectable impurities (the following substances would, if present at a sufficient level, be detected by one or other of the tests in the monograph. They are limited by the general acceptance criterion for other/unspecified impurities and/or by the general monograph Substances for pharmaceutical use (2034). It is therefore not necessary to identify these impurities for demonstration of compliance. See also 5.10. Control of impurities in substances for pharmaceutical use) A, B, C, E, F, G, H.

A. (1s,4s)-1-[2-(4-ethyl-5-oxo-4,5-dihydro-1H-tetrazol-1-yl)ethyl]-4-(methoxymethyl)-4-(N-phenylpropanamido)piperidine 1-oxide,

B. (1r,4r)-1-[2-(4-ethyl-5-oxo-4,5-dihydro-1H-tetrazol-1-yl)ethyl]-4-(methoxymethyl)-4-(N-phenylpropanamido)piperidine 1-oxide,

C. N-[4-(methoxymethyl)piperidin-4-yl]-N-phenylpropanamide,

D. N-[1-[2-(4-ethyl-5-oxo-4,5-dihydro-1H-tetrazol-1-yl)ethyl]-4-(methoxymethyl)piperidin-4-yl]-N-phenylacetamide,

E. 1-ethyl-4-[2-[4-(methoxymethyl)-4-(phenylamino)piperidin-1-yl]ethyl]-1,4-dihydro-5H-tetrazol-5-one,

F. N-[1-(2-hydroxyethyl)-4-(methoxymethyl)piperidin-4-yl]-N-phenylpropanamide,

G. N-[1-[2-(4-ethyl-5-oxo-4,5-dihydro-1H-tetrazol-1-yl)ethyl]-4-[(propanoyloxy)methyl]piperidin-4-yl]-N-phenylpropanamide,

H. N-[1-[2-(4-ethyl-5-oxo-4,5-dihydro-1H-tetrazol-1-yl)ethyl]-4-(methoxymethyl)piperidin-4-yl]-N-phenylbutanamide.






